Related products
Cyclophosphamide Monohydrate

M.F. C₇H₁₅Cl₂N₂O₂P : H₂O
M.W. 261.1 : 18.0
CAT# AR-C05577
CAS# 6055-19-2
3-((2-(Aziridin-1-yl)ethyl)amino)propyl dihydrogen phosphate

M.F. C₇H₁₇N₂O₄P
M.W. 224.2
CAT# AR-C03810
CAS# NA
3-(aziridin-1-yl)propyl hydrogen aziridin-1-ylphosphonate

M.F. C₇H₁₅N₂O₃P
M.W. 206.18
CAT# AR-C03816
CAS# NA
Phosphamide Mustard Cyclohexamine Salt

M.F. C₆H₁₃N. C₄H₁₁Cl₂N₂O₂P
M.W. 99.18 221.02
CAT# AR-C03812
CAS# 1566-15-0
3-((2-((2-chloroethyl)amino)ethyl)amino)propyl ethyl hydrogen phosphate

M.F. C₉H₂₂ClN₂O₄P
M.W. 288.71
CAT# AR-C03817
CAS# NA
3-[amino-[bis(2-chloroethyl)amino]phosphoryl]oxypropanal
![Show details for 3-[amino-[bis(2-chloroethyl)amino]phosphoryl]oxypropanal Picture of 3-[amino-[bis(2-chloroethyl)amino]phosphoryl]oxypropanal](https://bc3c83a0874864a50753-7010fd7f2bdf81ab41ee28479491701e.ssl.cf2.rackcdn.com/media//catalog/AR-C03811.jpg?size=256)
M.F. C₇H₁₅Cl₂N₂O₃P
M.W. 277.09
CAT# AR-C03811
CAS# 35144-64-0
(R,S)-4-Hydroxy Cyclophosphamide-d4 Preparation Kit

M.F. C₇H₁₁D₄Cl₂N₂O₃P
M.W. 281.11
CAT# AR-C05662
CAS# 1329838-09-6
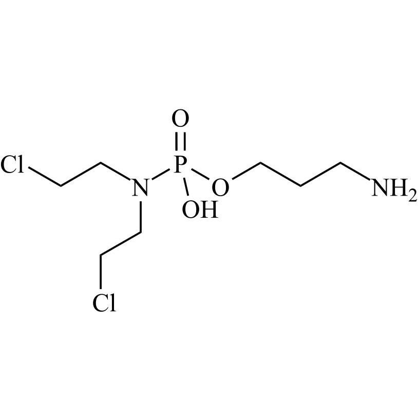
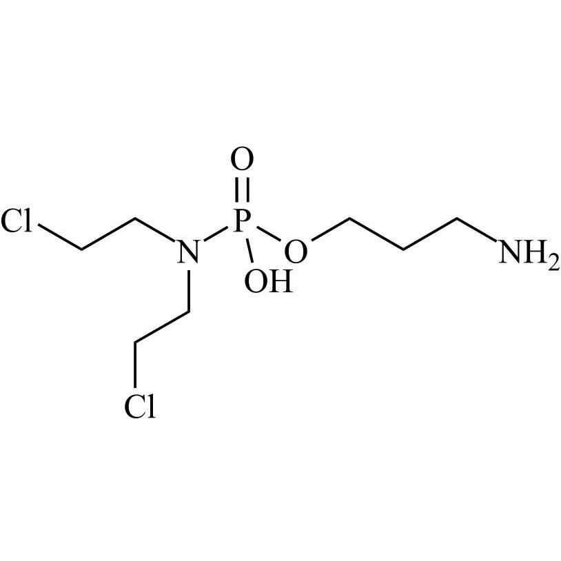
Cyclophosphamide Impurity D Dihydrochloride

M.F. C₇H₁₈ClN₂O₄P. ₂ HCl
M.W. 260.65 2 36.46
CAT# AR-C03823
CAS# 158401-51-5
Cyclophosphamide Related Compound A HCl

M.F. C₄H₉Cl₂N. HCl
M.W. 142.02; 36.46
CAT# AR-C08988
CAS# 821-48-7
Cyclophosphamide Impurity 13 DiHCl

M.F. C₁₃H₃₀ClN₂O₉P. ₂ HCl
M.W. 424.82 2*36.46
CAT# AR-C08674
CAS# NA
Cyclophosphamide Open Ring Ethanol Adduct

M.F. C₇H₁₇Cl₂N₂O₃P
M.W. 279.10
CAT# AR-C08675
CAS# 3308-51-8
Cyclophosphamide EP Impurity F HCl (Cyclophosphamide USP Related Compound C HCl,

M.F. C₃H₁₀NO₄P. HCl
M.W. 155.09 36.46
CAT# AR-C08673
CAS# 25457-71-0
N-Nitroso Cyclophosphamide EP Impurity D (N-nitroso Cyclophosphamide USP Related Compound B)

M.F. C₇H₁₅ClN₃O₄P
M.W. 271.64
CAT# AR-C08666
CAS# NA
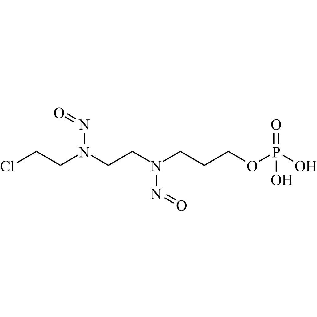
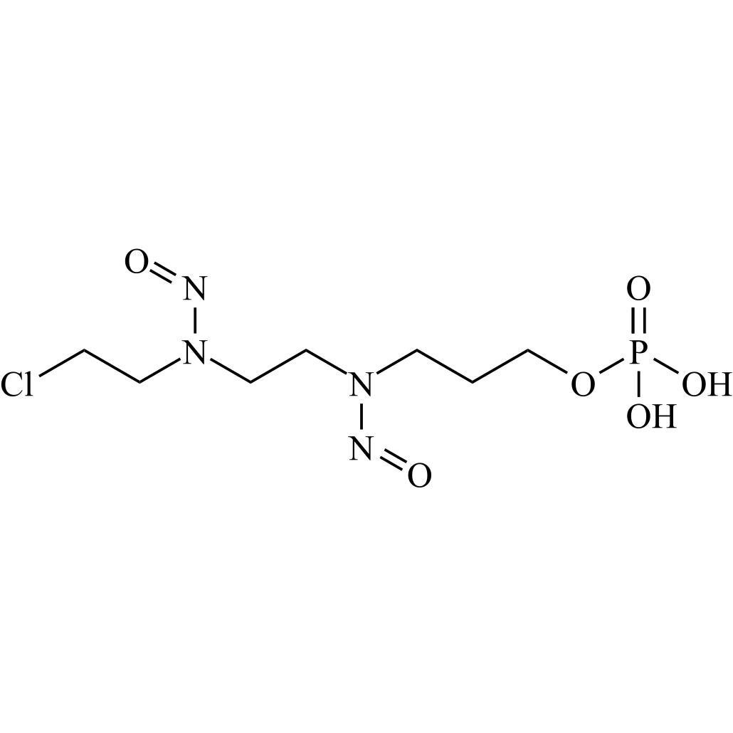
Di-N-Nitroso Cyclophosphamide EP Impurity E (Di-N-Nitroso Cyclophosphamide USP Related Compound D)

M.F. C₇H₁₆ClN₄O₆P
M.W. 318.65
CAT# AR-C08667
CAS# NA
N1-Nitroso Cyclophosphamide EP Impurity E (N1-Nitroso Cyclophosphamide USP Related Compound D)

M.F. C₇H₁₇ClN₃O₅P
M.W. 289.65
CAT# AR-C08668
CAS# NA
N2-Nitroso Cyclophosphamide EP Impurity E (N2-Nitroso Cyclophosphamide USP Related Compound D)

M.F. C₇H₁₇ClN₃O₅P
M.W. 289.65
CAT# AR-C08669
CAS# NA
4-Oxo Cyclophosphamide-d8

M.F. C₇H₅Cl₂N₂O₃PD₈
M.W. 283.12
CAT# AR-C03815
CAS# 27046-19-1 (non-labelled)
Phosphamide Mustard-d8 Cyclohexamine Salt

M.F. C₄H₃Cl₂N₂O₂PD₈. C₆H₁₃N
M.W. 229.07 99.18
CAT# AR-C03826
CAS# 1566-15-0 (non-labelled)