- Synonyms2-((1-benzyl-4-hydroxypiperidin-4-yl)methyl)-5,6-dimethoxy-2,3-dihydro-1H-inden-1-one hydrochloride;2,3-Dihydro-2-[[4-hydroxy-1-(phenylmethyl)-4-piperidinyl]methyl]-5,6-dimethoxy-1H-inden-1-one; 2-((1-Benzyl-4-hydroxypiperidin-4-yl)methyl)-5,6-dimethoxy-2,3-dihydro-1H-inden-1-one; Donepezil 4-Hyd...
- Description
Related products
4-Methyl-2-n-propyl-1H-benzimidazole-6-carboxylic Acid

M.F. C₁₂H₁₄N₂O₂
M.W. 218.26
CAT# AR-D02167
CAS# 152628-03-0
Donepezil Impurity (5,6-Dimethoxy-1-Indanone)

M.F. C₁₁H₁₂O₃
M.W. 192.22
CAT# AR-D02158
CAS# 2107-69-9
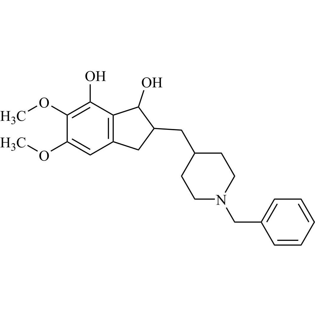
Donepezil Impurity (3-Hydroxy Donepezil)

M.F. C₂₄H₂₉NO₄
M.W. 395.49
CAT# AR-D02172
CAS# 2097683-67-3
Donepezil Desbenzyl Impurity HCl

M.F. C₁₇H₂₃NO₃. HCl
M.W. 289.38; 36.46
CAT# AR-D02157
CAS# 120013-39-0
Donepezil Benzyl Bromide Impurity

M.F. C₃₁H₃₆NO₃. Br
M.W. 470.63; 79.90
CAT# AR-D02161
CAS# 844694-85-5 (bromide salt)
Donepezil Quaternary salt (Donepezilbenzyl) (USP)

M.F. C₃₁H₃₆NO₃. Br
M.W. 470.63 79.90
CAT# AR-D07508
CAS# 844694-85-5
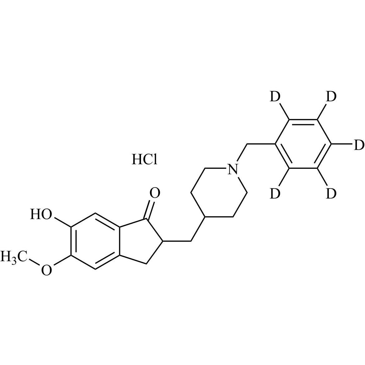
Donepezil-d5 HCl

M.F. C₂₄H₂₄NO₃D₅. HCl
M.W. 384.53 36.46
CAT# AR-D02177
CAS# 120011-70-3 (non-labelled)
6-O-Desmethyl Donepezil Glucuronide (Mixture of Diastereomers)

M.F. C₂₉H₃₅NO₉
M.W. 541.6
CAT# AR-D02159
CAS# 220170-73-0
6-O-Desmethyl Donepezil Glucuronide Sodium Salt (Mixture of Diastereomers)

M.F. C₂₉H₃₄NO₉. Na
M.W. 540.59 22.99
CAT# AR-D07507
CAS# NA