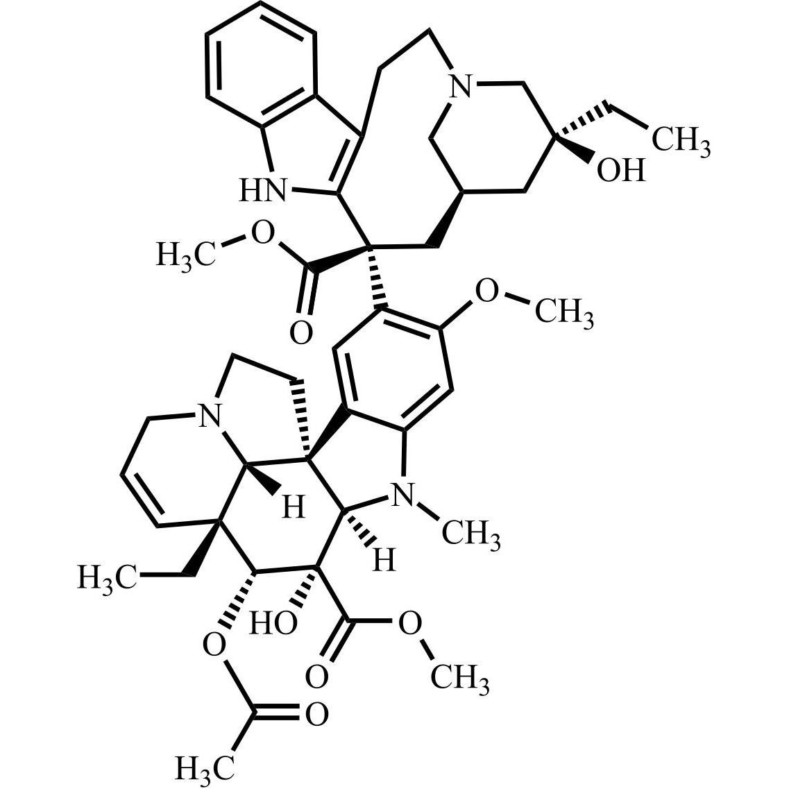
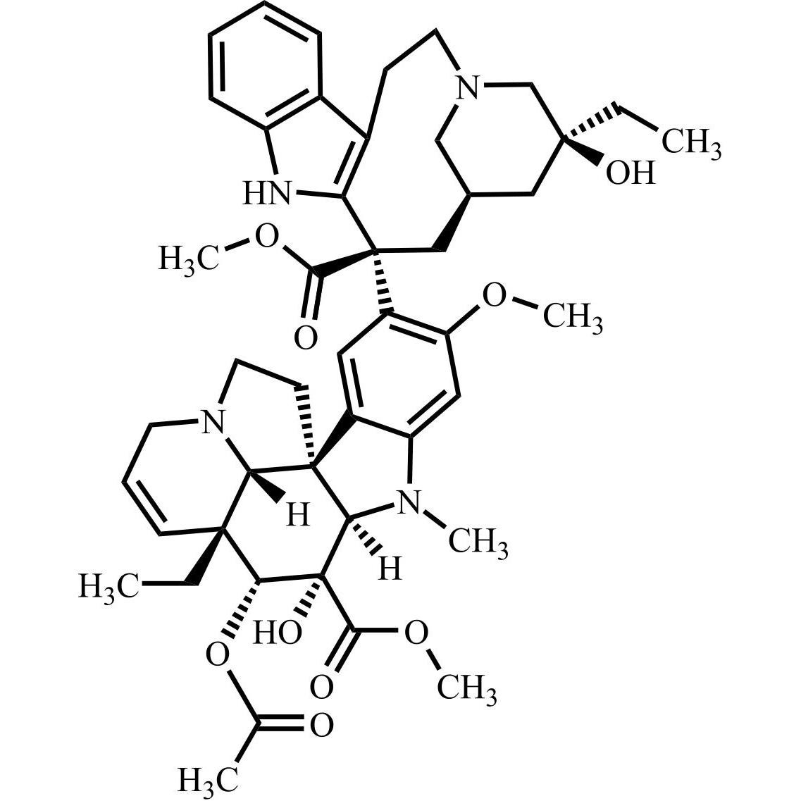
- Synonyms(3aS,3a1R,4R,5S,5aR,10bR)-methyl 4-acetoxy-3a-ethyl-9-((5S,7R,9S)-5-ethyl-5-hydroxy-9-(methoxycarbonyl)-2,4,5,6,7,8,9,10-octahydro-1H-3,7-methano[1]azacycloundecino[5,4-b]indol-9-yl)-8-methoxy-6-methyl-3a,3a1,4,5,5a,6,11,12-octahydro-3H-3,5-epoxyindolizino[8,1-cd]carbazole-5-carboxylate
- Description
(3aS,3a1R,4R,5S,5aR,10bR)-methyl 4-acetoxy-3a-ethyl-9-((5S,7R,9S)-5-ethyl-5-hydroxy-9-(methoxycarbonyl)-2,4,5,6,7,8,9,10-octahydro-1H-3,7-methano[1]azacycloundecino[5,4-b]indol-9-yl)-8-methoxy-6-methyl-3a,3a1,4,5,5a,6,11,12-octahydro-3H-3,5-epoxyindolizino[8,1-cd]carbazole-5-carboxylate
Vinblastine Impurity H is a fully characterized chemical compound used as a reference standard of API Vinblastine. The standard offered is compliant with regulatory guidelines. Vinblastine Impurity H is used for analytical method development, method validation (AMV), and Quality Controlled (QC) applications during synthesis and formulation stages of drug development and serves as a reference standard for traceability against pharmacopeial standards (USP or EP). Axios Research products are intended for analytical purposes only and are not for human use. CAS -
Related products
Vinblastine Sulfate (Vincristine EP Impurity H Sulfate)

M.F. C₄₆H₅₈N₄O₉. H₂O₄S
M.W. 810.99 98.08
CAT# AR-V06682
CAS# 143-67-9 (Sulfate)