Prothioconazole Related Products
Axios Research stands at the forefront of pharmaceutical reference standards ingenuity, providing high quality Prothioconazole Reference Standards. These include both pharmacopeial and non-pharmacopeial Prothioconazole impurities, metabolites, stable isotope products, and nitrosamines. Our Prothioconazole impurity reference standards are essential for pharmaceutical research, aiding in product development, ANDA and DMF submissions, quality control (QC), method validation, and stability studies. They are also used in identifying unknown impurities and evaluating genotoxic potential. Our Prothioconazole related products are meticulously characterized and come with a comprehensive Certificates of Analysis (COA) and analytical data that comply with regulatory standards.
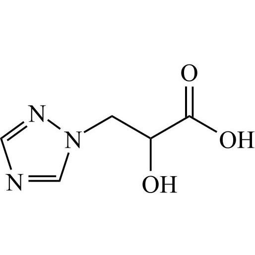
Prothioconazole Impurity 8 (Mixture of Diastereomers)

M.F.
M.W. 328.19
CAT# AR-P33108
CAS# 856045-95-9