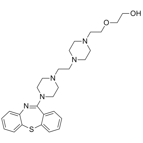
Quetiapine Related Products
Axios Research stands at the forefront of pharmaceutical reference standards ingenuity, providing high quality Quetiapine Reference Standards. These include both pharmacopeial and non-pharmacopeial Quetiapine impurities, metabolites, stable isotope products, and nitrosamines. Our Quetiapine impurity reference standards are essential for pharmaceutical research, aiding in product development, ANDA and DMF submissions, quality control (QC), method validation, and stability studies. They are also used in identifying unknown impurities and evaluating genotoxic potential. Our Quetiapine related products are meticulously characterized and come with a comprehensive Certificates of Analysis (COA) and analytical data that comply with regulatory standards.
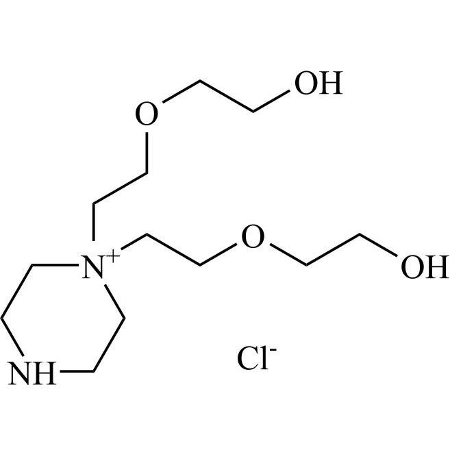
(N,N'-bis[(2-phenylthio)phenyl]-1,4-piperazinedicarboxamide)
![Show details for (N,N'-bis[(2-phenylthio)phenyl]-1,4-piperazinedicarboxamide) Picture of (N,N'-bis[(2-phenylthio)phenyl]-1,4-piperazinedicarboxamide)](https://bc3c83a0874864a50753-7010fd7f2bdf81ab41ee28479491701e.ssl.cf2.rackcdn.com/media//catalog/AR-Q01054.jpg?size=256)
M.F.
M.W. 540.71
CAT# AR-Q01054
CAS# NA
7-Hydroxy Quetiapine Hemifumarate

M.F.
M.W. 399.52 0.5 116.07
CAT# AR-Q01016
CAS# 139079-39-3 (Freebase)
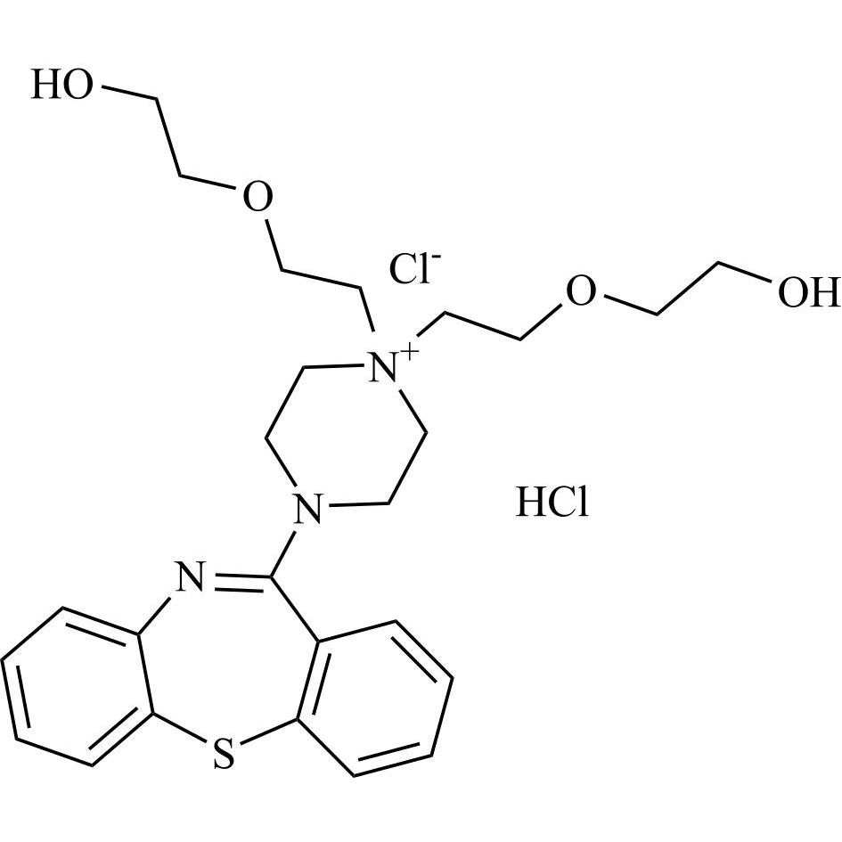
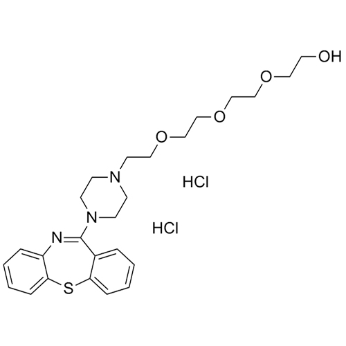
Quetiapine EP Impurity N DiHCl

M.F.
M.W. 539.75 2 36.46
CAT# AR-Q01046
CAS# 1800291-86-4 (free base)
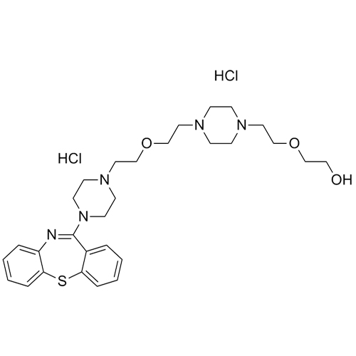
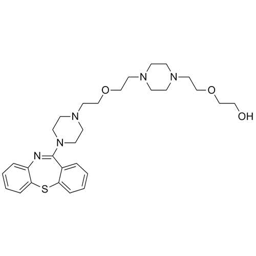
N-Des[2-(2-hydroxyethoxy)ethyl] N-[4-(N-Methylamino)butylcarboxy] Quetiapine
![Show details for N-Des[2-(2-hydroxyethoxy)ethyl] N-[4-(N-Methylamino)butylcarboxy] Quetiapine Picture of N-Des[2-(2-hydroxyethoxy)ethyl] N-[4-(N-Methylamino)butylcarboxy] Quetiapine](https://bc3c83a0874864a50753-7010fd7f2bdf81ab41ee28479491701e.ssl.cf2.rackcdn.com/media//catalog/AR-Q03787.jpg?size=256)
M.F.
M.W. 394.54
CAT# AR-Q03787
CAS# 2206606-99-5
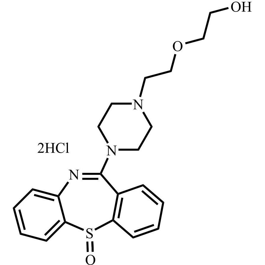
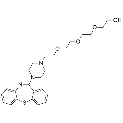
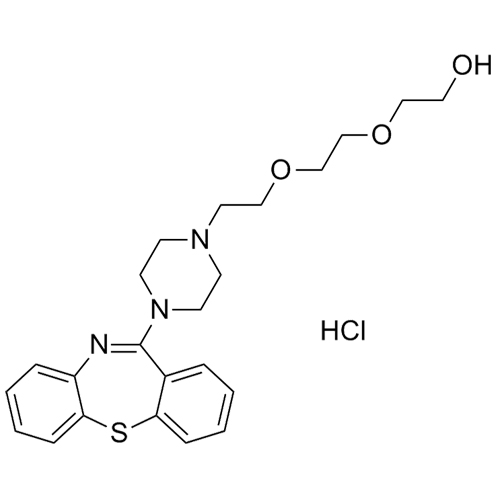
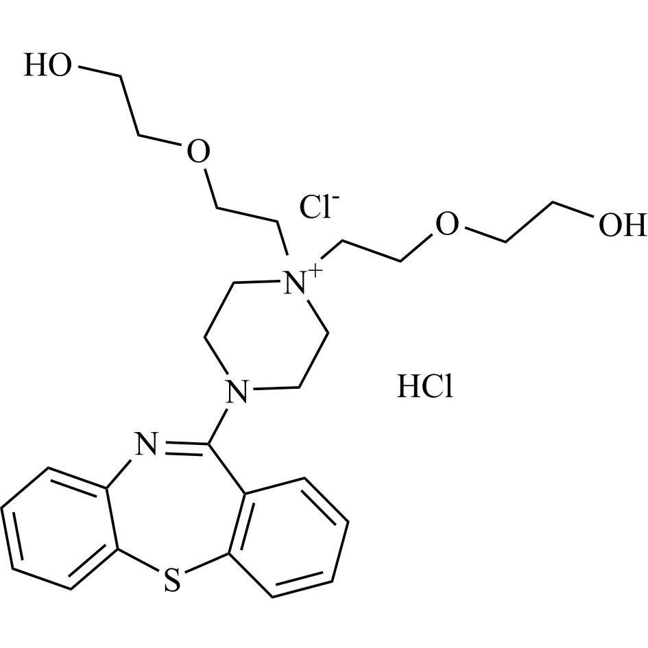
2-[2-(4-Dibenzo[b,f] [1,4]thiazepine-11-yl-1-piperazineyl)ethoxyl]-1-ethyl Ethanol
![Show details for 2-[2-(4-Dibenzo[b,f] [1,4]thiazepine-11-yl-1-piperazineyl)ethoxyl]-1-ethyl Ethanol Picture of 2-[2-(4-Dibenzo[b,f] [1,4]thiazepine-11-yl-1-piperazineyl)ethoxyl]-1-ethyl Ethanol](https://bc3c83a0874864a50753-7010fd7f2bdf81ab41ee28479491701e.ssl.cf2.rackcdn.com/media//catalog/AR-Q01033.jpg?size=256)
M.F.
M.W. 427.61
CAT# AR-Q01033
CAS# N/A
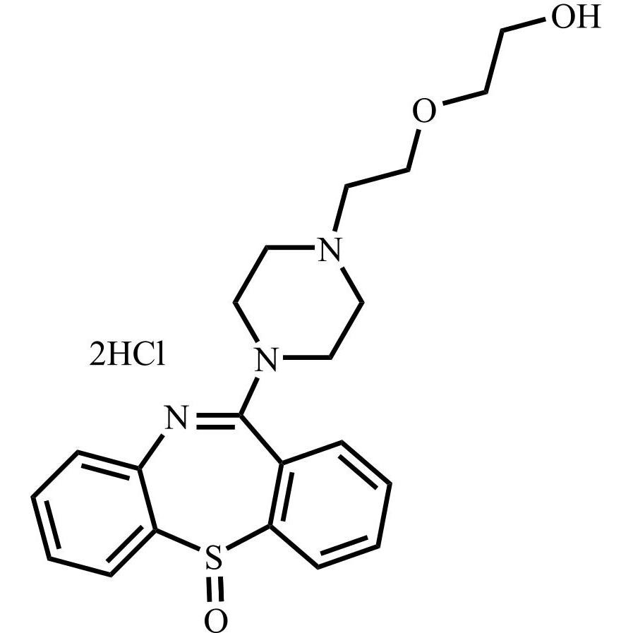
N-Des[2-(2-hydroxyethoxy)ethyl] N-[4-(N-Methylamino)butylcarboxy] Quetiapine
![Show details for N-Des[2-(2-hydroxyethoxy)ethyl] N-[4-(N-Methylamino)butylcarboxy] Quetiapine Picture of N-Des[2-(2-hydroxyethoxy)ethyl] N-[4-(N-Methylamino)butylcarboxy] Quetiapine](https://bc3c83a0874864a50753-7010fd7f2bdf81ab41ee28479491701e.ssl.cf2.rackcdn.com/media//catalog/AR-Q01061.jpg?size=256)
M.F.
M.W. 394.54
CAT# AR-Q01061
CAS# 2206606-99-5
Quetiapine EP Impurity A DiHCl (Quetiapine O-Acetyl Impurity DiHCl)

M.F.
M.W. 425.55 2*36.46
CAT# AR-Q03840
CAS# NA
Quetiapine EP Impurity S DiHCl (Quetiapine Sulfoxide DiHCl)

M.F.
M.W. 399.52 2*36.46
CAT# AR-Q03838
CAS# 329218-11-3
7-Hydroxy Quetiapine-d4 Hemifumarate

M.F.
M.W. 403.54 0.5 116.07
CAT# AR-Q01017
CAS# 139079-39-3 (non-d Freebase)
N-Nitroso Quetiapine EP Impurity B-d8 (N-Nitroso Quetiapine USP Related Compound B-d8)

M.F.
M.W. 332.45
CAT# AR-Q03847
CAS# NA
Quetiapine EP Impurity B-d8 (Quetiapine USP Related Compound B-d8 (Free Form))

M.F.
M.W. 303.45
CAT# AR-Q03845
CAS# 1189866-35-0
Quetiapine EP Impurity S-d8 DiHCl (Quetiapine Sulfoxide-d8 DiHCl)

M.F.
M.W. 407.56 2*36.46
CAT# AR-Q03826
CAS# NA