- Synonyms(S)-5-(1,2-dithiolan-3-yl)pentanoate, 2-amino-2-(hydroxymethyl)propane-1,3-diol (1:1)
- Description
(S)-5-(1,2-dithiolan-3-yl)pentanoate, 2-amino-2-(hydroxymethyl)propane-1,3-diol (1:1)
S-Thioctic Acid Tromethamine is a fully characterized chemical compound used as a reference standard of API Thioctic Acid. The standard offered is compliant with regulatory guidelines. S-Thioctic Acid Tromethamine is used for analytical method development, method validation (AMV), and Quality Controlled (QC) applications during synthesis and formulation stages of drug development and serves as a reference standard for traceability against pharmacopeial standards (USP or EP). Axios Research products are intended for analytical purposes only and are not for human use. CAS - 248914-06-9
Related products
rac-Lipoic Acid Monosulfoxide (Mixture of Regioisomers and Diastereomers)

M.F.
M.W. 222.32
CAT# AR-T01860
CAS# 108015-78-7
Thioctic Acid EP Impurity A (1,2,3-Trithiane-4-Pentanoic Acid)

M.F.
M.W. 238.38
CAT# AR-T01855
CAS# 1204245-29-3
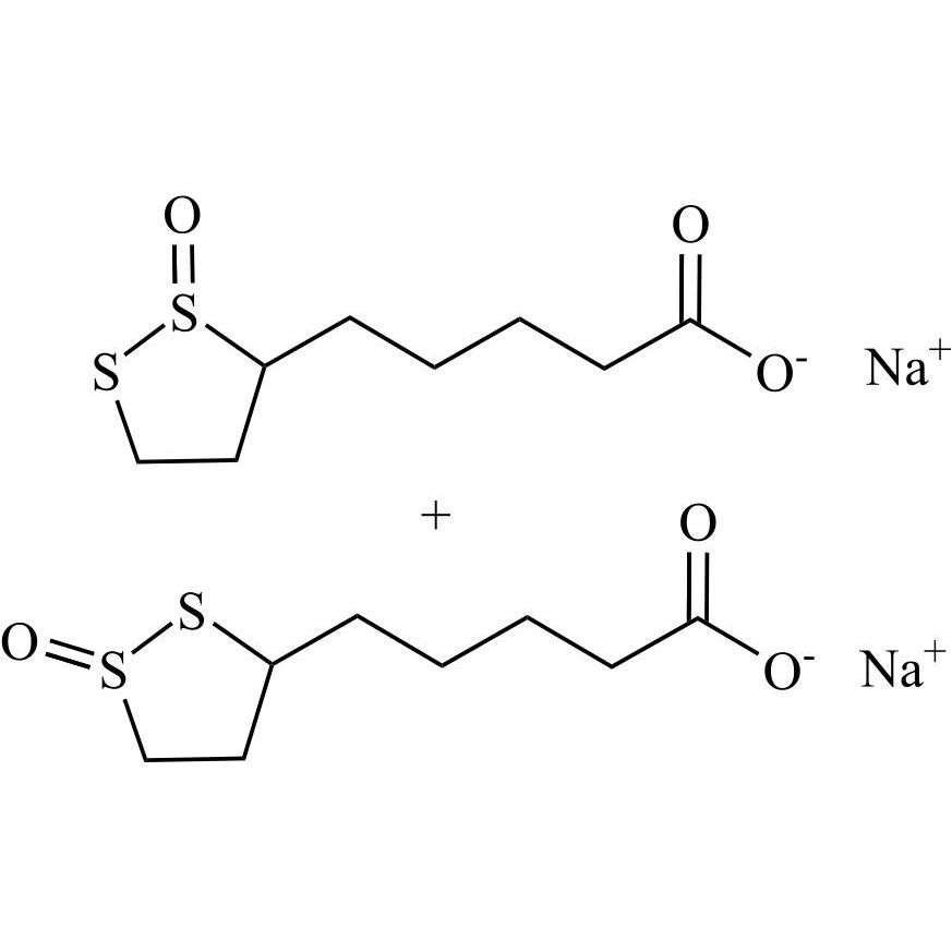
Thioctic Acid Impurity 20 Sodium Salt (Mixture of Isomers)

M.F.
M.W. 221.32 22.99
CAT# AR-T04904
CAS# NA
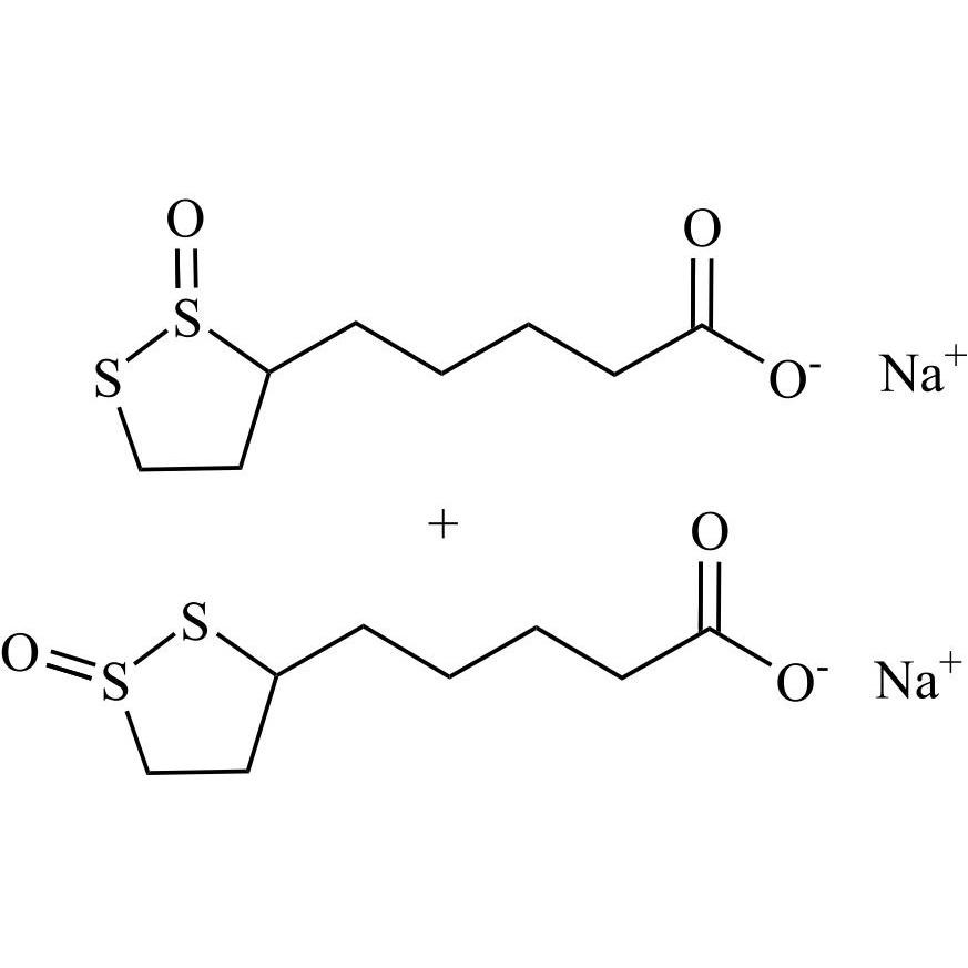
Thioctic Acid Impurity 21 Sodium Salt (Mixture of Isomers)

M.F.
M.W. 221.31 22.99
CAT# AR-T04907
CAS# NA
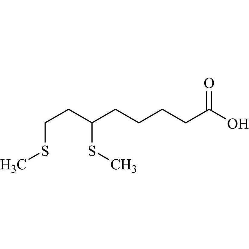
Thioctic Acid Impurity 37 (4,6-Bis(methylthio)Hexanoic Acid)

M.F.
M.W. 208.33
CAT# AR-T04905
CAS# 5659-81-4