Sertraline Related Products
Axios Research stands at the forefront of pharmaceutical reference standards ingenuity, providing high quality Sertraline Reference Standards. These include both pharmacopeial and non-pharmacopeial Sertraline impurities, metabolites, stable isotope products, and nitrosamines. Our Sertraline impurity reference standards are essential for pharmaceutical research, aiding in product development, ANDA and DMF submissions, quality control (QC), method validation, and stability studies. They are also used in identifying unknown impurities and evaluating genotoxic potential. Our Sertraline related products are meticulously characterized and come with a comprehensive Certificates of Analysis (COA) and analytical data that comply with regulatory standards.
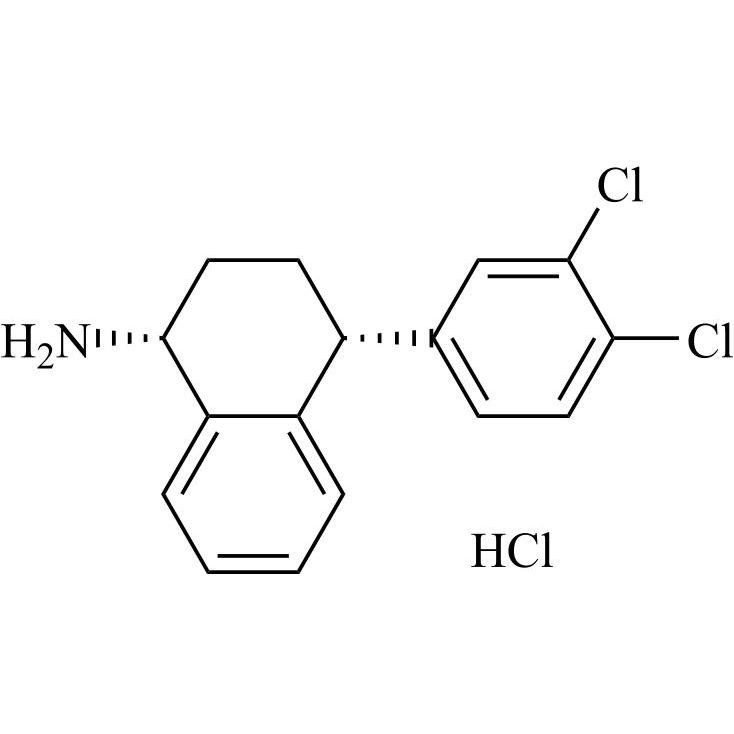
(1R,4R)-Sertraline 4-Chlorophenyl Impurity HCl

M.F.
M.W. 271.79 36.46
CAT# AR-S01301
CAS# 79617-90-6
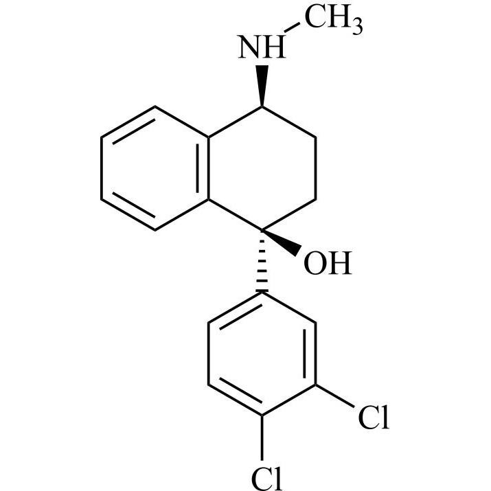
4-(3,4-dichlorophenyl)-1,2,3,4-tetrahydronaphthalen-1-ol

M.F.
M.W. 293.19
CAT# AR-S01311
CAS# 866018-46-4
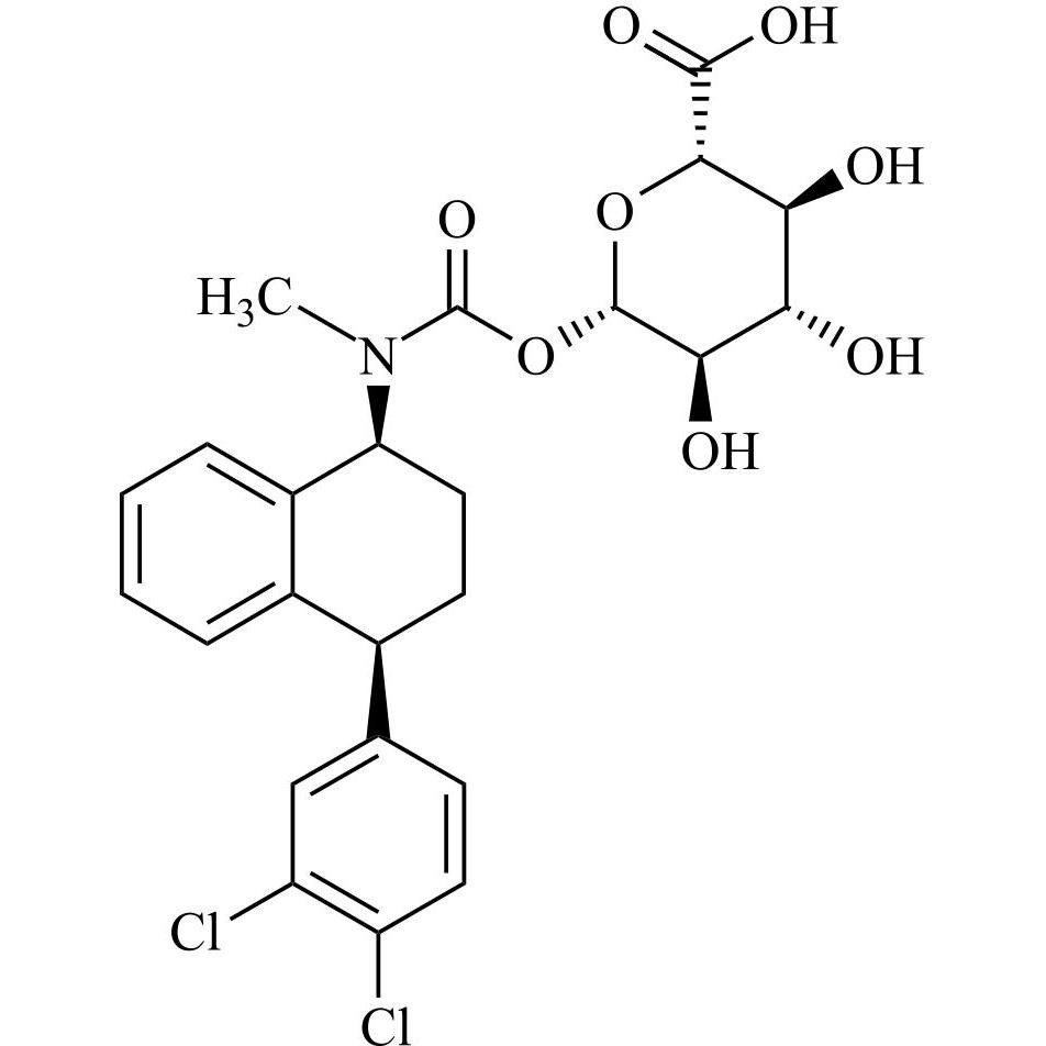
Pregabalin EP Impurity D (Mandelic Acid Isopropyl Ester)

M.F.
M.W. 194.23
CAT# AR-S01310
CAS# 4118-51-8
Sertraline EP Impurity C HCl (Mixture of cis Isomers)

M.F.
M.W. 271.79;36.46
CAT# AR-S09369
CAS# 79559-98-1
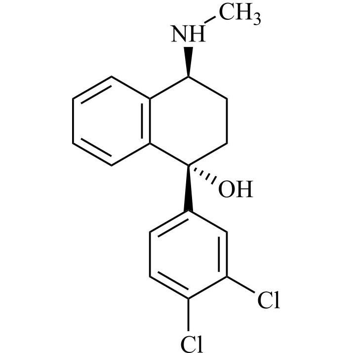
(R,R)-Sertraline HCl (Sertraline EP Impurity G HCl)

M.F.
M.W. 306.23; 36.46
CAT# AR-S01297
CAS# 79645-15-1
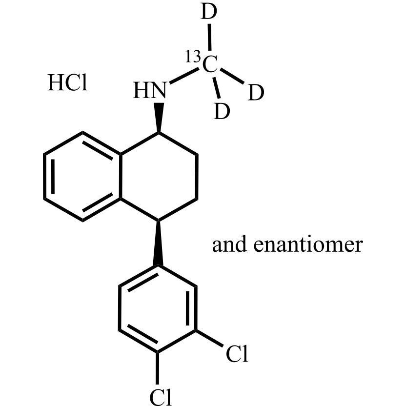
rac-cis-Sertraline-13C-d3 HCl

M.F.
M.W. 310.24 36.46
CAT# AR-S01298
CAS# 79559-97-0 (S,S-isomer, non-labelled)