Sildenafil Related Products
Axios Research stands at the forefront of pharmaceutical reference standards ingenuity, providing high quality Sildenafil Reference Standards. These include both pharmacopeial and non-pharmacopeial Sildenafil impurities, metabolites, stable isotope products, and nitrosamines. Our Sildenafil impurity reference standards are essential for pharmaceutical research, aiding in product development, ANDA and DMF submissions, quality control (QC), method validation, and stability studies. They are also used in identifying unknown impurities and evaluating genotoxic potential. Our Sildenafil related products are meticulously characterized and come with a comprehensive Certificates of Analysis (COA) and analytical data that comply with regulatory standards.
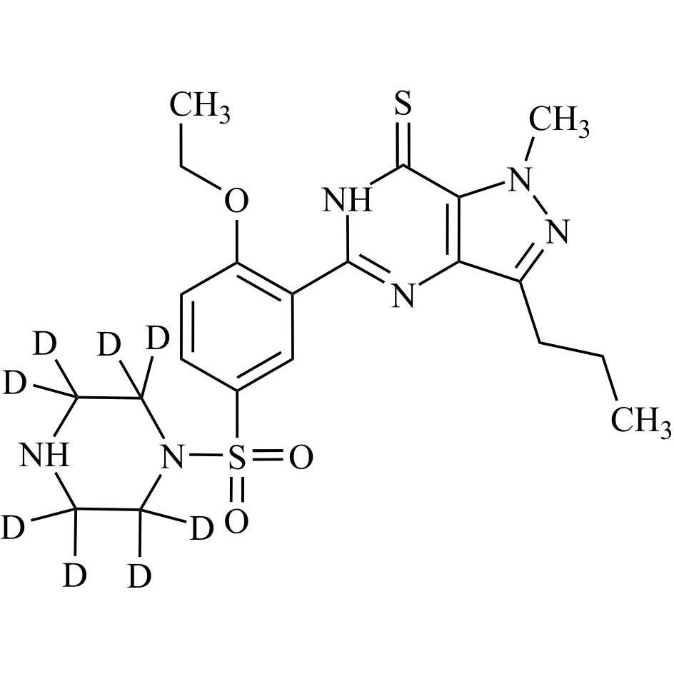
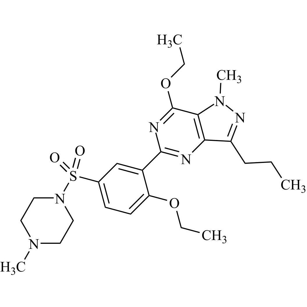
2-ethoxy-5-((4-methylpiperazin-1-yl)sulfonyl)benzaldehyde

M.F.
M.W. 312.39
CAT# AR-S01443
CAS# 332374-42-2
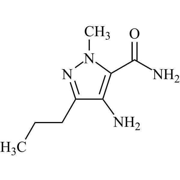
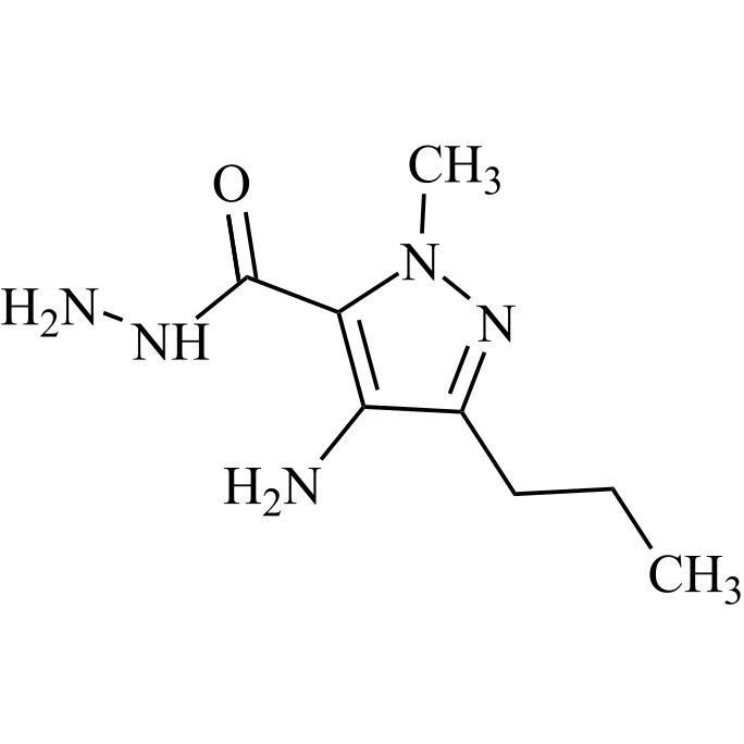
4-amino-3-isobutyl-1-methyl-1H-pyrazole-5-carboxamide

M.F.
M.W. 196.25
CAT# AR-S01467
CAS# 268204-00-8
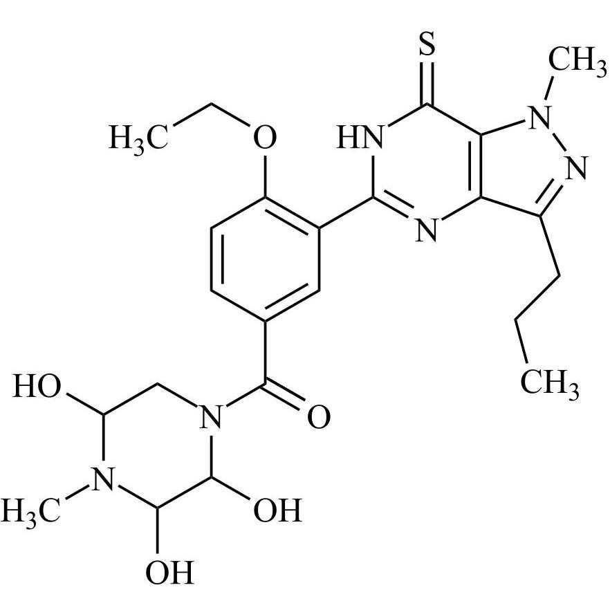
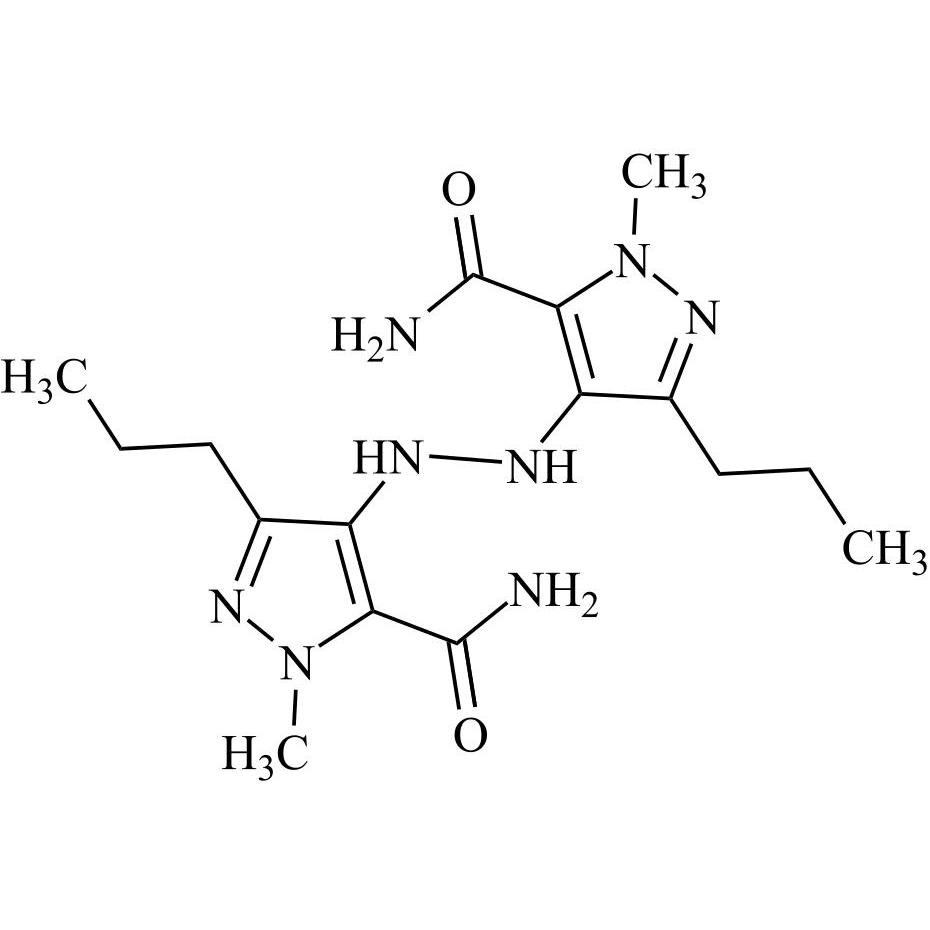
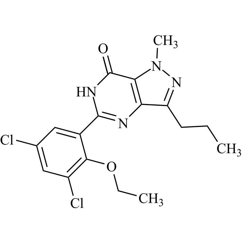
Thiodimethyl Sildenafil (Thioaildenafill, Sulfoaildenafil)

M.F.
M.W. 504.67
CAT# AR-S01375
CAS# 856190-47-1
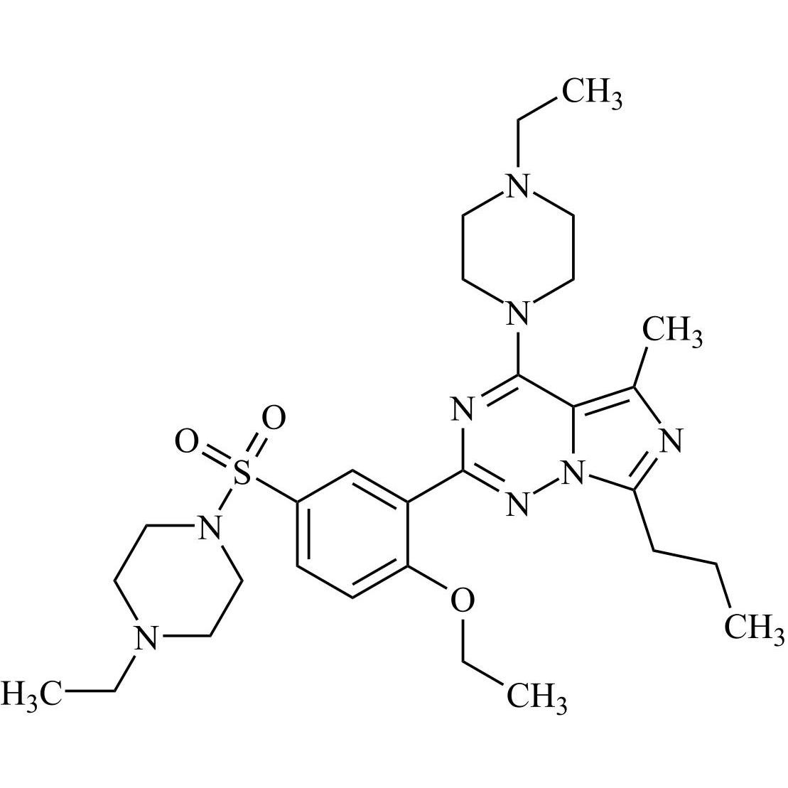
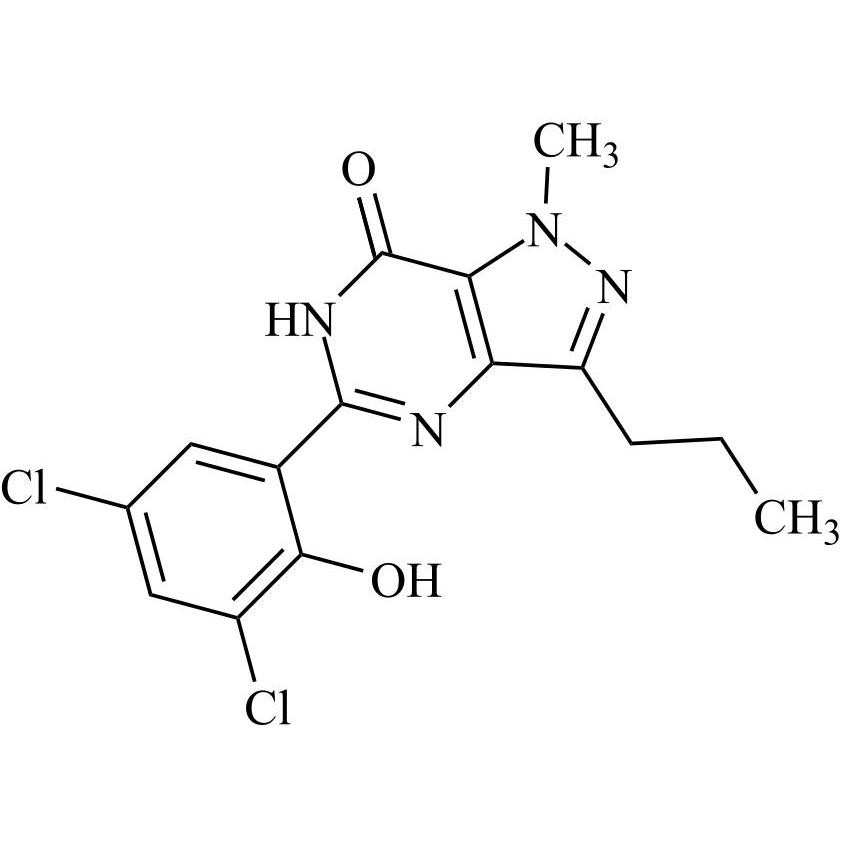
Hydroxyhongdenafil-d4 (Hydroxy Acetidenafil-d4)

M.F.
M.W. 486.61
CAT# AR-S01447
CAS# 147676-56-0 (non-d)