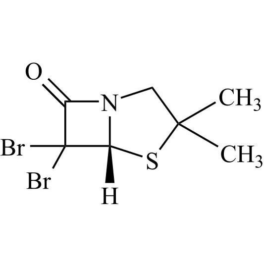
Sulbactam Related Products
Axios Research stands at the forefront of pharmaceutical reference standards ingenuity, providing high quality Sulbactam Reference Standards. These include both pharmacopeial and non-pharmacopeial Sulbactam impurities, metabolites, stable isotope products, and nitrosamines. Our Sulbactam impurity reference standards are essential for pharmaceutical research, aiding in product development, ANDA and DMF submissions, quality control (QC), method validation, and stability studies. They are also used in identifying unknown impurities and evaluating genotoxic potential. Our Sulbactam related products are meticulously characterized and come with a comprehensive Certificates of Analysis (COA) and analytical data that comply with regulatory standards.
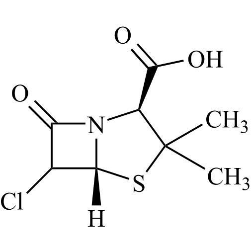
Sulbactam EP Impurity A (Sulbactam USP Related Compound A)

M.F.
M.W. 181.21
CAT# AR-S01976
CAS# 23315-18-6
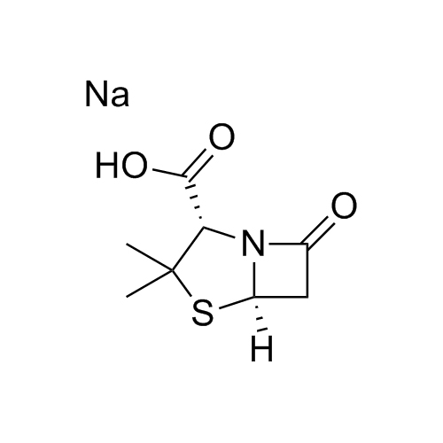
Sulbactam Impurity 2 Sodium Salt (Penicillanic Acid Sodium Salt)

M.F.
M.W. 200.24 22.99
CAT# AR-S01987
CAS# 4027-62-7