Tamoxifen Related Products
Axios Research stands at the forefront of pharmaceutical reference standards ingenuity, providing high quality Tamoxifen Reference Standards. These include both pharmacopeial and non-pharmacopeial Tamoxifen impurities, metabolites, stable isotope products, and nitrosamines. Our Tamoxifen impurity reference standards are essential for pharmaceutical research, aiding in product development, ANDA and DMF submissions, quality control (QC), method validation, and stability studies. They are also used in identifying unknown impurities and evaluating genotoxic potential. Our Tamoxifen related products are meticulously characterized and come with a comprehensive Certificates of Analysis (COA) and analytical data that comply with regulatory standards.
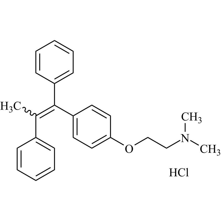
Tamoxifen EP Impurity D HCl (Mixture of Z and E Isomers)

M.F.
M.W. 357.50 36.46
CAT# AR-T03955
CAS# NA
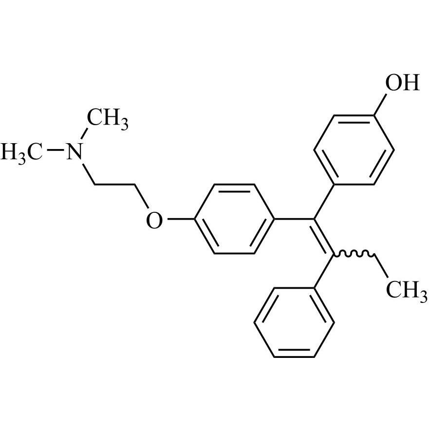
(Z)-4-Hydroxy-N-Desmethyl Tamoxifen (Endoxifen) beta-D-Glucuronide

M.F.
M.W. 549.62
CAT# AR-T03953
CAS# 152764-52-8