Terbutaline Related Products
Axios Research stands at the forefront of pharmaceutical reference standards ingenuity, providing high quality Terbutaline Reference Standards. These include both pharmacopeial and non-pharmacopeial Terbutaline impurities, metabolites, stable isotope products, and nitrosamines. Our Terbutaline impurity reference standards are essential for pharmaceutical research, aiding in product development, ANDA and DMF submissions, quality control (QC), method validation, and stability studies. They are also used in identifying unknown impurities and evaluating genotoxic potential. Our Terbutaline related products are meticulously characterized and come with a comprehensive Certificates of Analysis (COA) and analytical data that comply with regulatory standards.
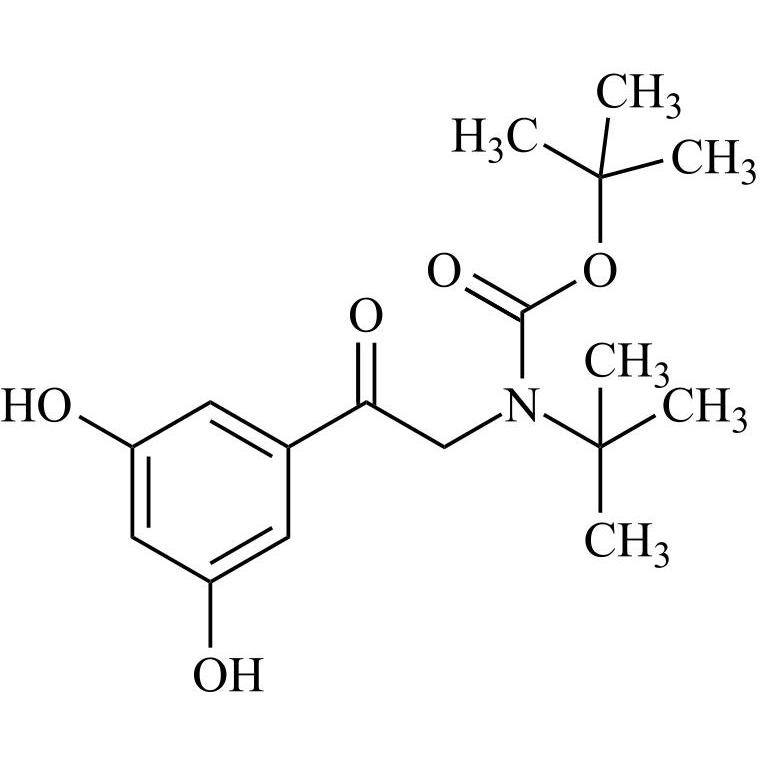
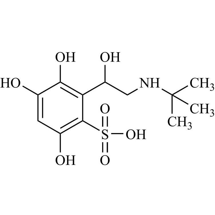
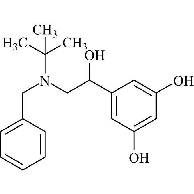
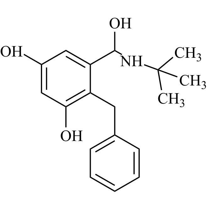
5-(2-(Tert-butyl(hydroxy)amino)-1-hydroxyethyl)benzene-1,3-diol

M.F.
M.W. 241.28
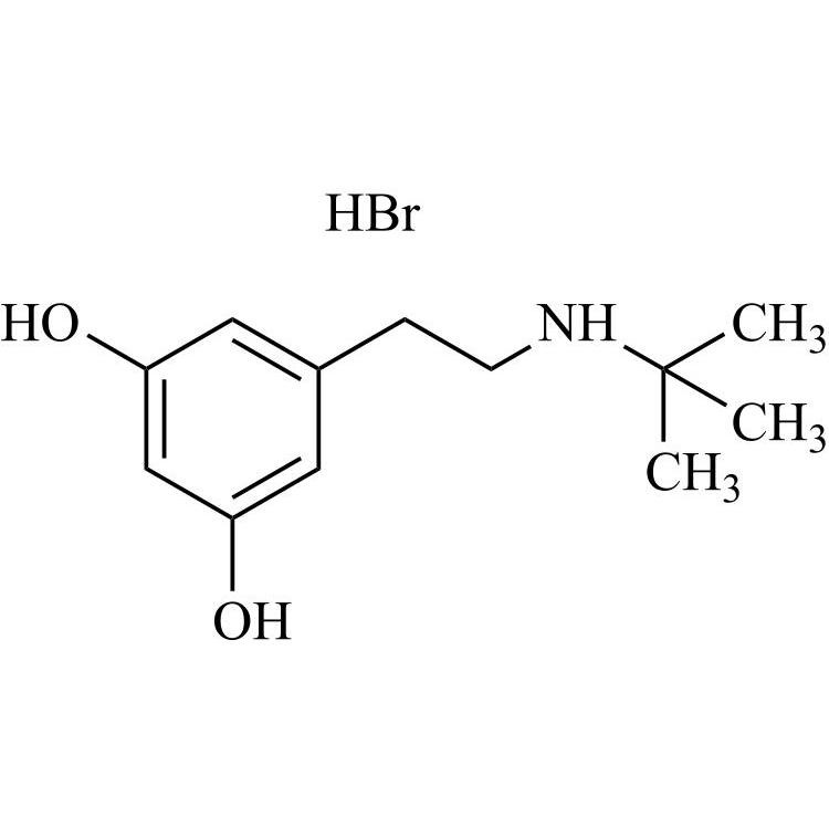
CAT# AR-T03496
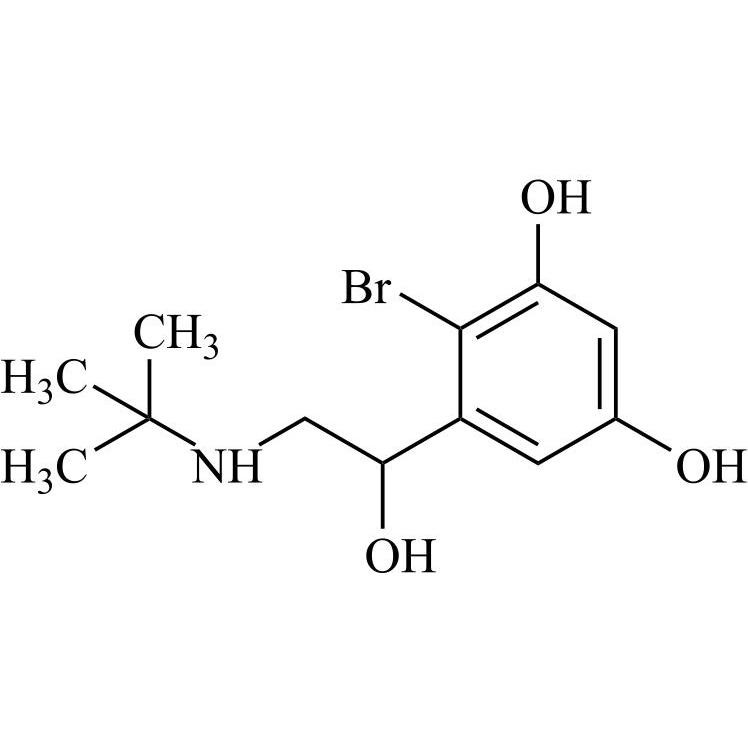
CAS# 1428441-56-8
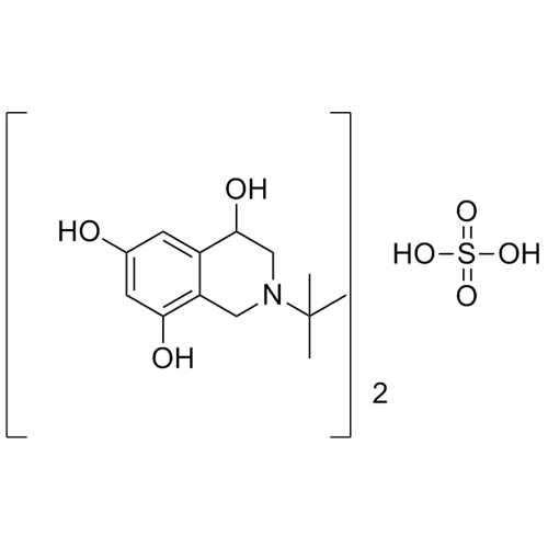
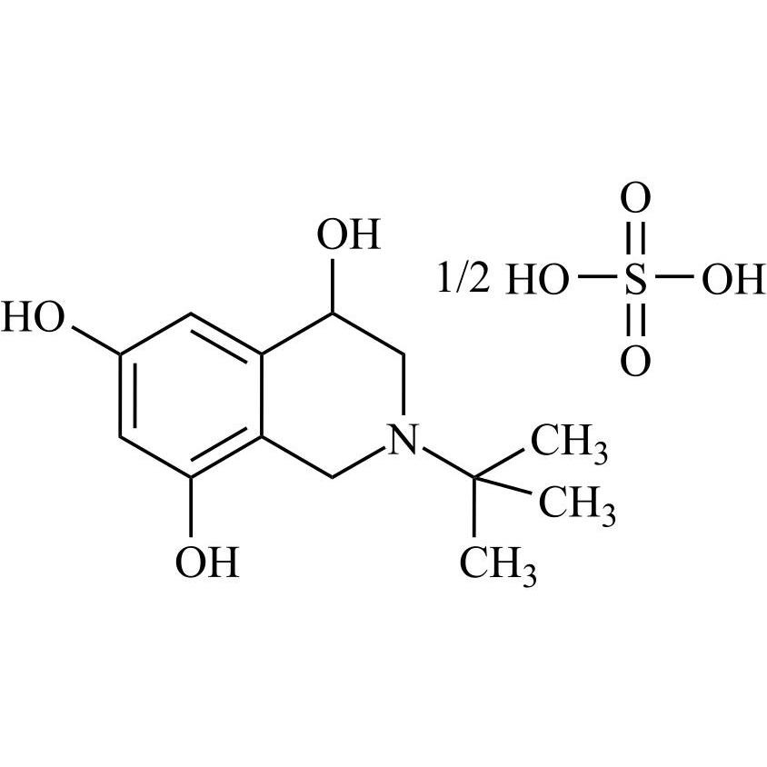
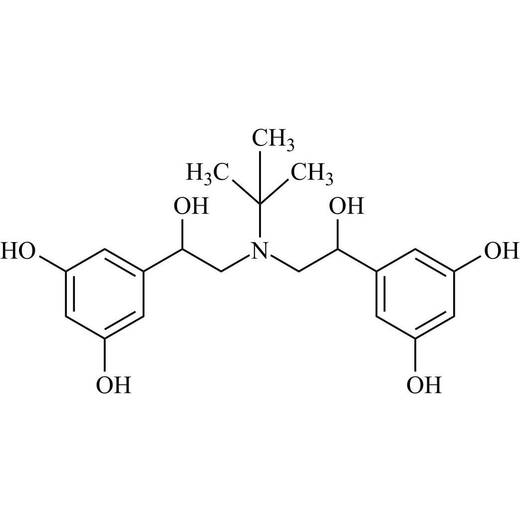
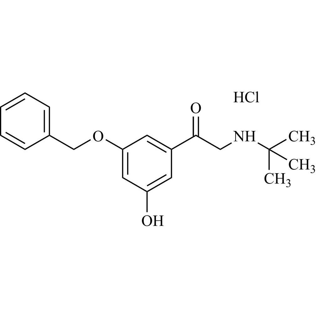
Terbutaline EP Impurity B Hemisulphate Hydrate

M.F.
M.W. 237.30 1/2 98.07
CAT# AR-T00990
CAS# 153657-83-1
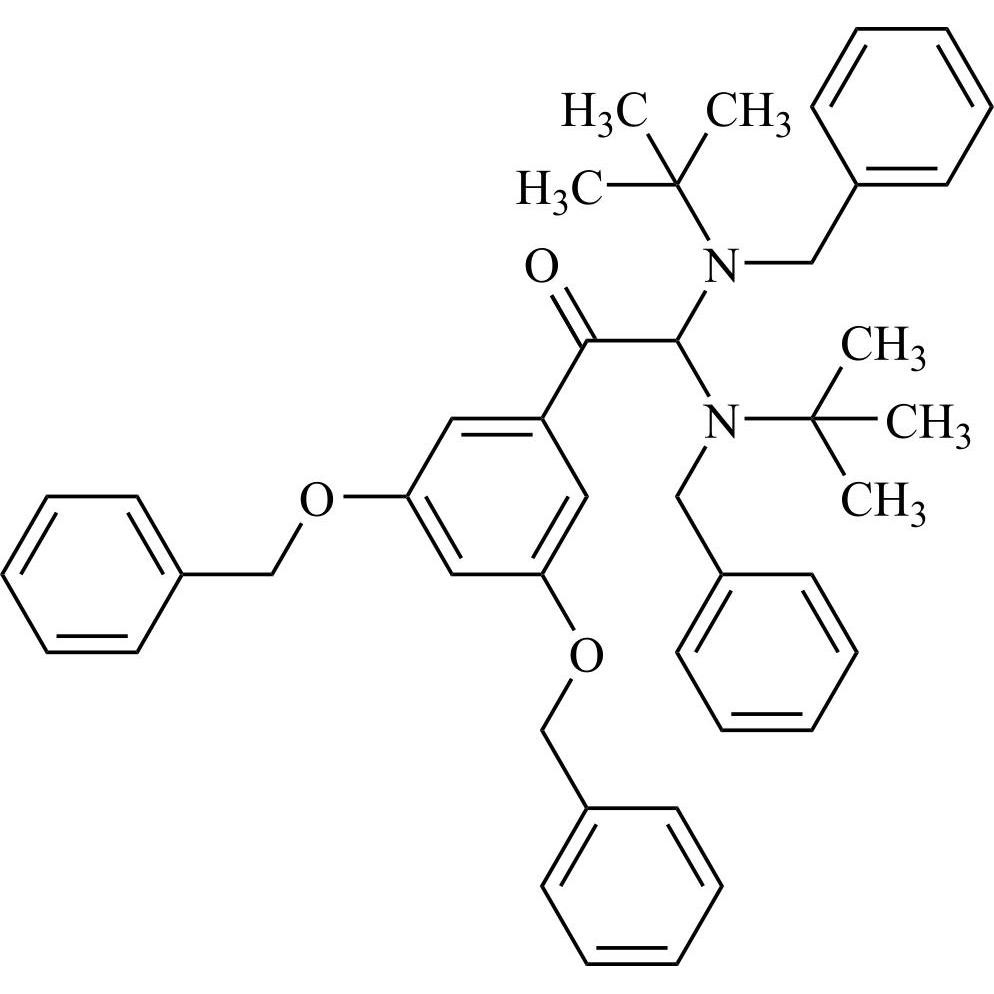
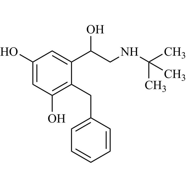
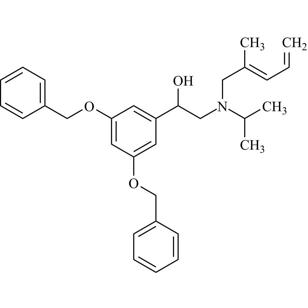
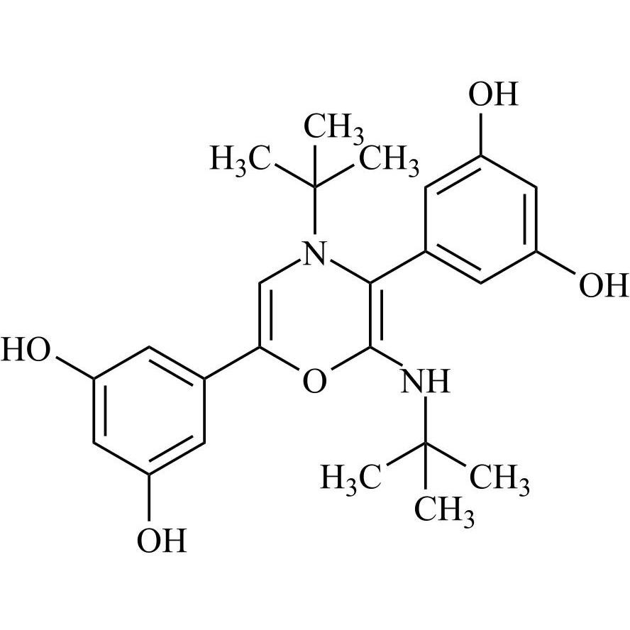
Terbutaline Impurity 16 HCl (Mixture of Diastereomers)

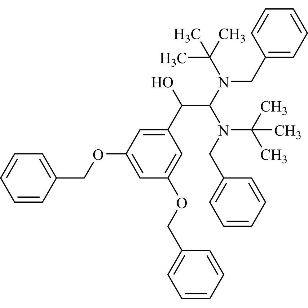
M.F.
M.W. 737.94 36.46
CAT# AR-T04486
CAS# NA