Testosterone Related Products
Axios Research stands at the forefront of pharmaceutical reference standards ingenuity, providing high quality Testosterone Reference Standards. These include both pharmacopeial and non-pharmacopeial Testosterone impurities, metabolites, stable isotope products, and nitrosamines. Our Testosterone impurity reference standards are essential for pharmaceutical research, aiding in product development, ANDA and DMF submissions, quality control (QC), method validation, and stability studies. They are also used in identifying unknown impurities and evaluating genotoxic potential. Our Testosterone related products are meticulously characterized and come with a comprehensive Certificates of Analysis (COA) and analytical data that comply with regulatory standards.
Androst-4-en-6-one, 3,17-dihydroxy-(17β) (mixture of diastereomers

M.F.
M.W. -
CAT# AR-T03609
CAS# NA
Testosterone EP Impurity C Undecanoate (Epitestosterone Undecanoate)

M.F.
M.W. 456.71
CAT# AR-T04569
CAS# 2763446-42-8
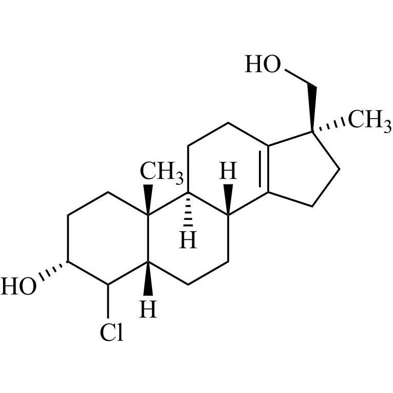
(3a,5ß,17ß)-4-Chloro-3-Hydroxy-17-Methyl-18-Norandrost-13-Ene-17-Methanol

M.F.
M.W. 338.92
CAT# AR-T04566
CAS# 1372695-72-1
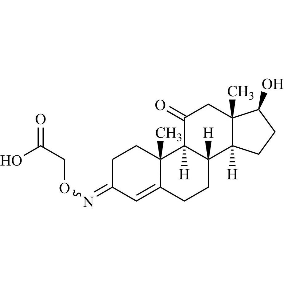
Testosterone Impurity 28 (Mixture of Z and E Isomers)

M.F.
M.W. 375.47
CAT# AR-T04601
CAS# 158729-70-5
Testosterone EP Impurity C-d5 Undecanoate (Epitestosterone-d5 Undecanoate)

M.F.
M.W. 461.74
CAT# AR-T04574
CAS# NA