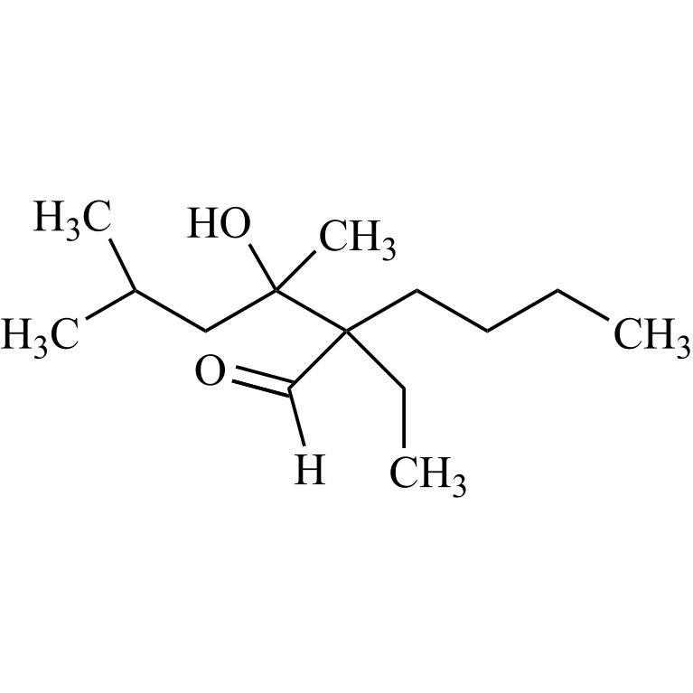
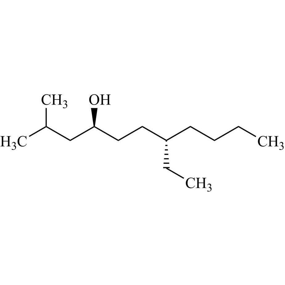
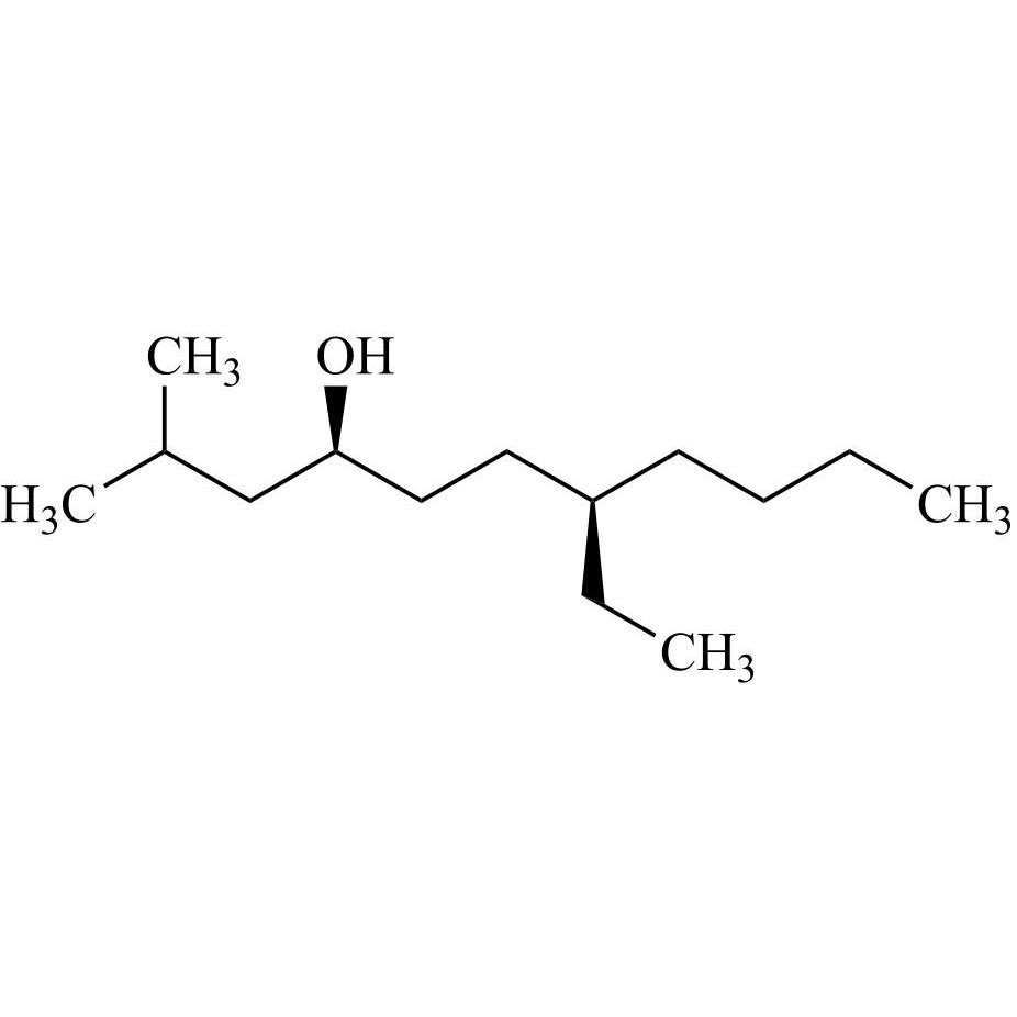
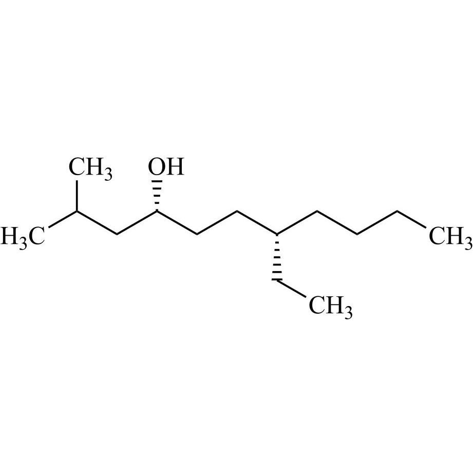
Tetradecane Impurity 5 is a fully characterized chemical compound used as a reference standard of API Tetradecane. The standard offered is compliant with regulatory guidelines. Tetradecane Impurity 5 is used for analytical method development, method validation (AMV), and Quality Controlled (QC) applications during synthesis and formulation stages of drug development and serves as a reference standard for traceability against pharmacopeial standards (USP or EP). Axios Research products are intended for analytical purposes only and are not for human use. CAS - NA
Related products
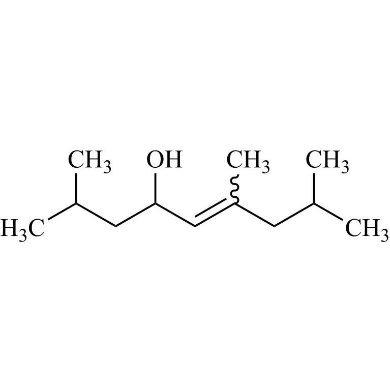
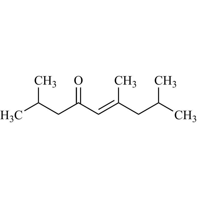
Tetradecane Impurity 17 (Mixture of Z and E Isomers)
M.F.
M.W. 182.31
CAT# AR-T04700
CAS# 19044-66-7