Thiamazole Related Products
Axios Research stands at the forefront of pharmaceutical reference standards ingenuity, providing high quality Thiamazole Reference Standards. These include both pharmacopeial and non-pharmacopeial Thiamazole impurities, metabolites, stable isotope products, and nitrosamines. Our Thiamazole impurity reference standards are essential for pharmaceutical research, aiding in product development, ANDA and DMF submissions, quality control (QC), method validation, and stability studies. They are also used in identifying unknown impurities and evaluating genotoxic potential. Our Thiamazole related products are meticulously characterized and come with a comprehensive Certificates of Analysis (COA) and analytical data that comply with regulatory standards.
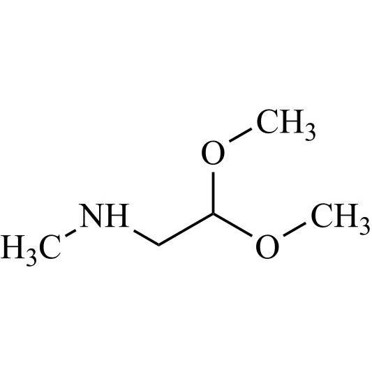
Thiamazole EP Impurity A (Methimazole USP Related Compound A)

M.F.
M.W. 119.16
CAT# AR-T03537
CAS# 122-07-6
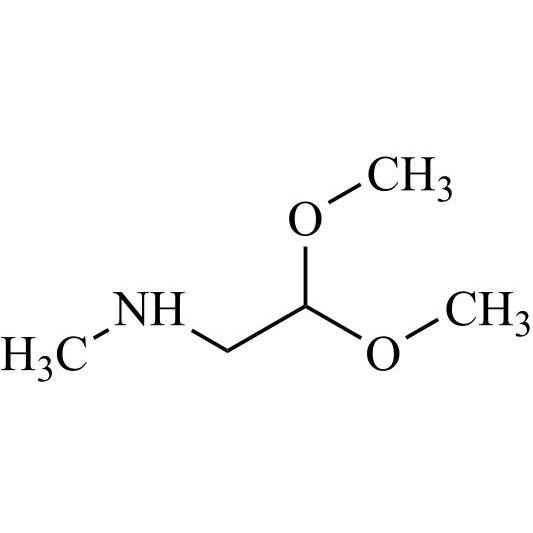
Thiamazole EP Impurity A (Methimazole USP Related Compound A)

M.F.
M.W. 119.16
CAT# AR-T04774
CAS# 122-07-6
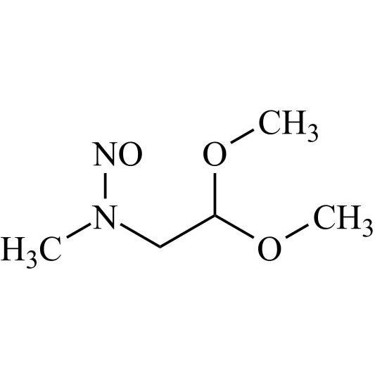
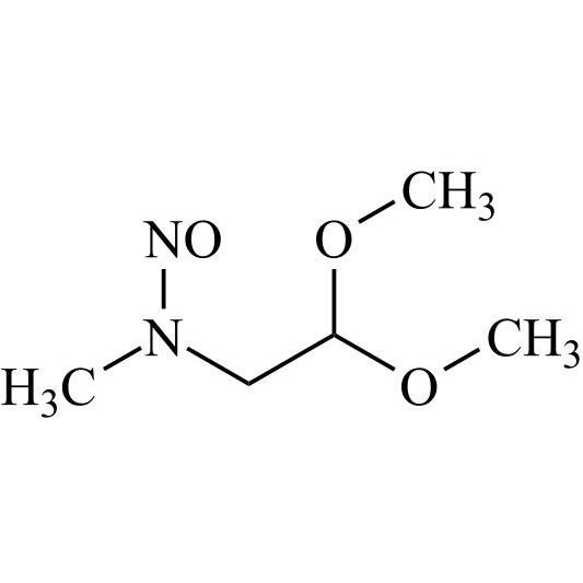
N-Nitroso Thiamazole EP Impurity A (N-Nitroso Methimazole USP Related Compound A)

M.F.
M.W. 148.16
CAT# AR-T04775
CAS# 111348-65-3
Thiamazole thio-b-D-Glucuronide (Methimazole thio-b-D-Glucuronide)

M.F.
M.W. 290.29
CAT# AR-T04773
CAS# 39038-19-2