Thiamine Related Products
Axios Research stands at the forefront of pharmaceutical reference standards ingenuity, providing high quality Thiamine Reference Standards. These include both pharmacopeial and non-pharmacopeial Thiamine impurities, metabolites, stable isotope products, and nitrosamines. Our Thiamine impurity reference standards are essential for pharmaceutical research, aiding in product development, ANDA and DMF submissions, quality control (QC), method validation, and stability studies. They are also used in identifying unknown impurities and evaluating genotoxic potential. Our Thiamine related products are meticulously characterized and come with a comprehensive Certificates of Analysis (COA) and analytical data that comply with regulatory standards.
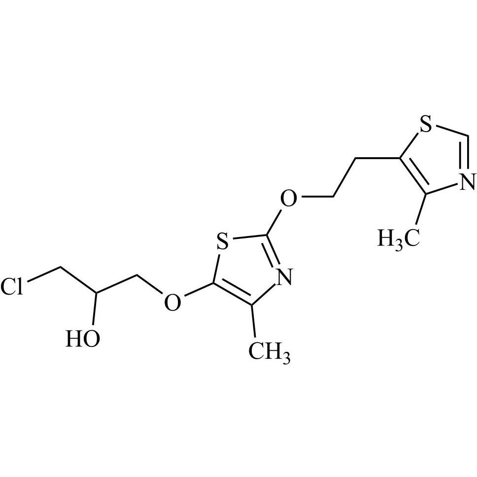
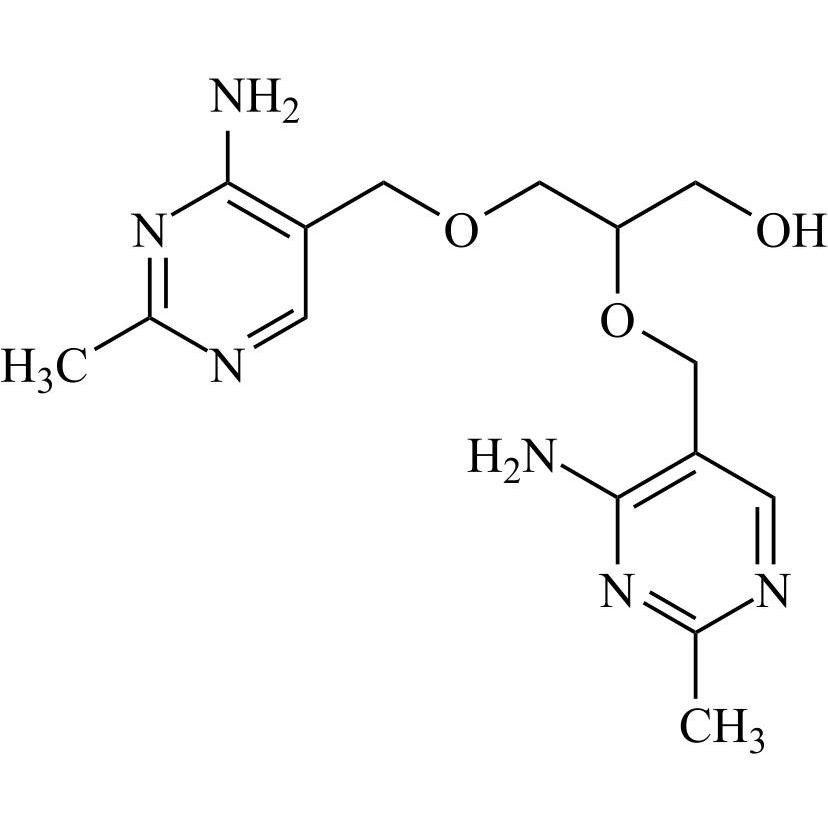
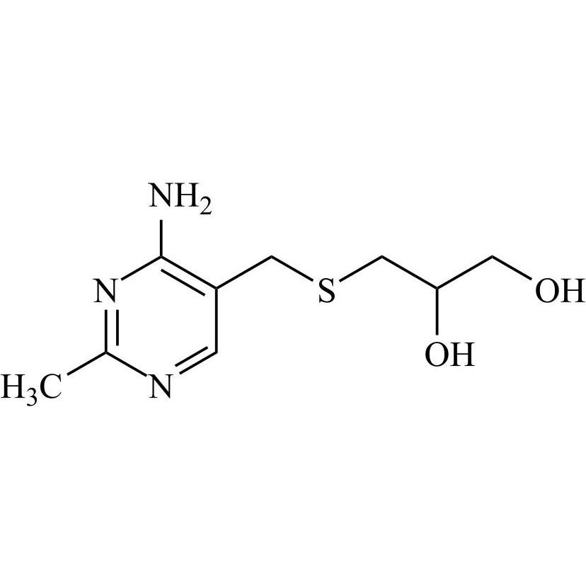
1-chloro-3-((4-methyl-2-(2-(4-methylthiazol-5-yl)ethoxy)thiazol-5-yl)oxy)propan-2-ol

M.F.
M.W. 348.86
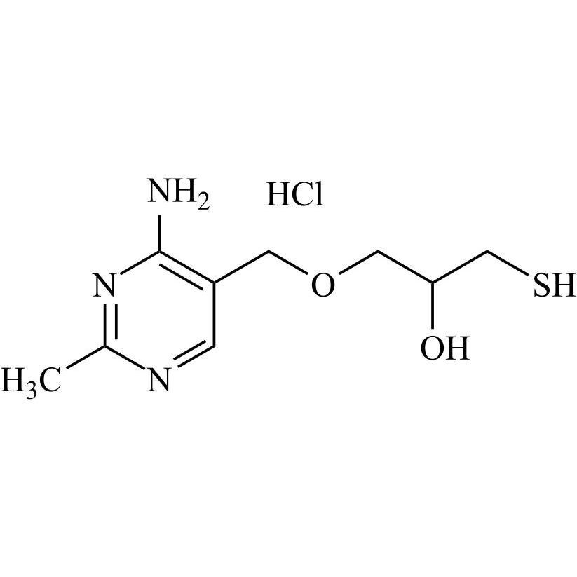
CAT# AR-T03548
CAS# NA
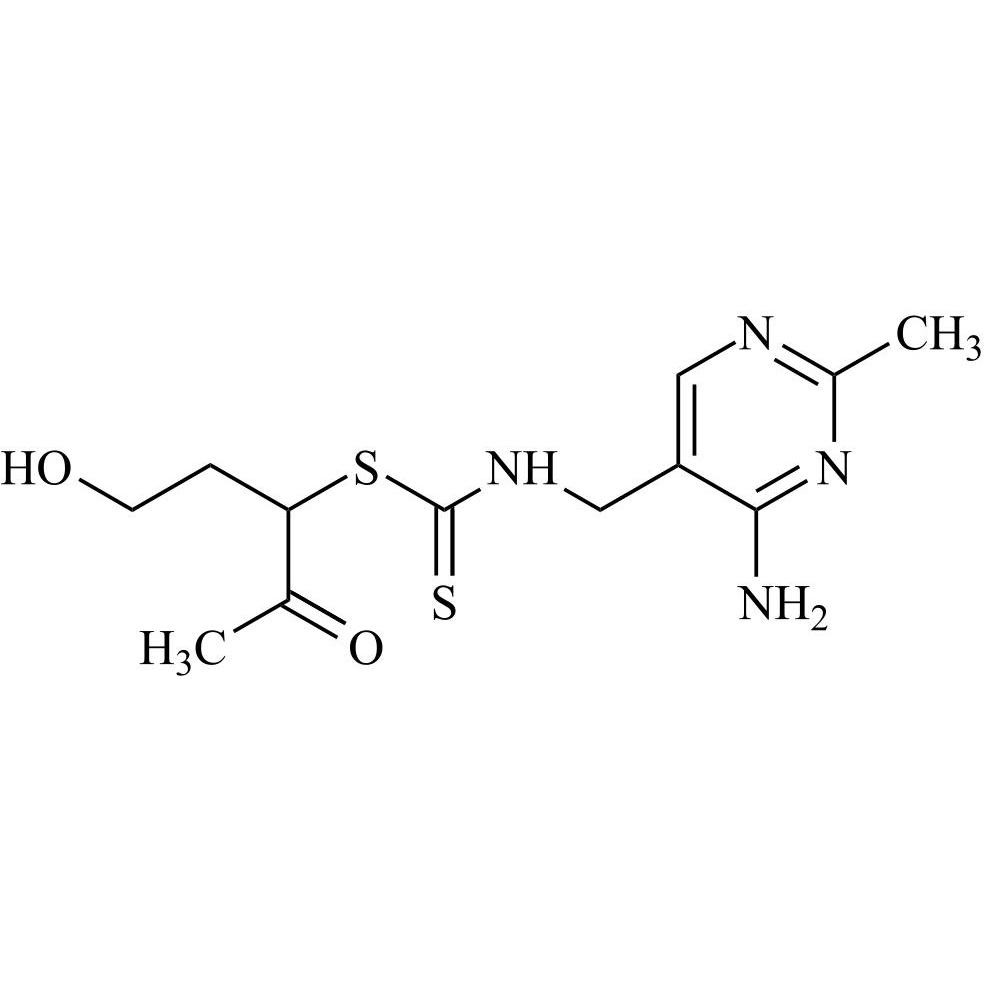
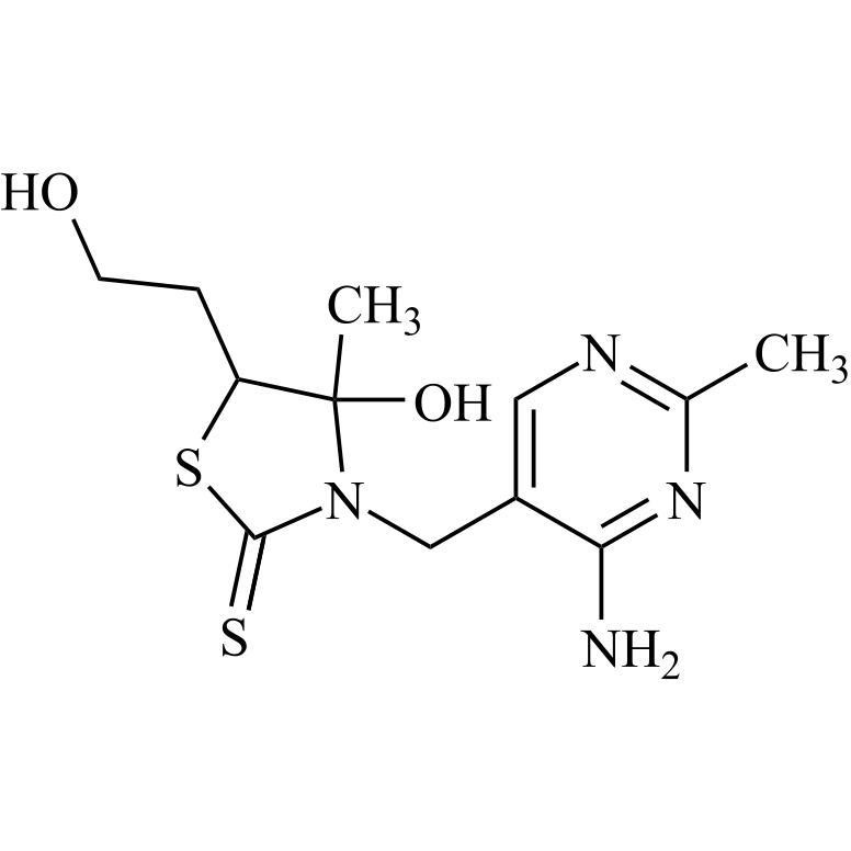
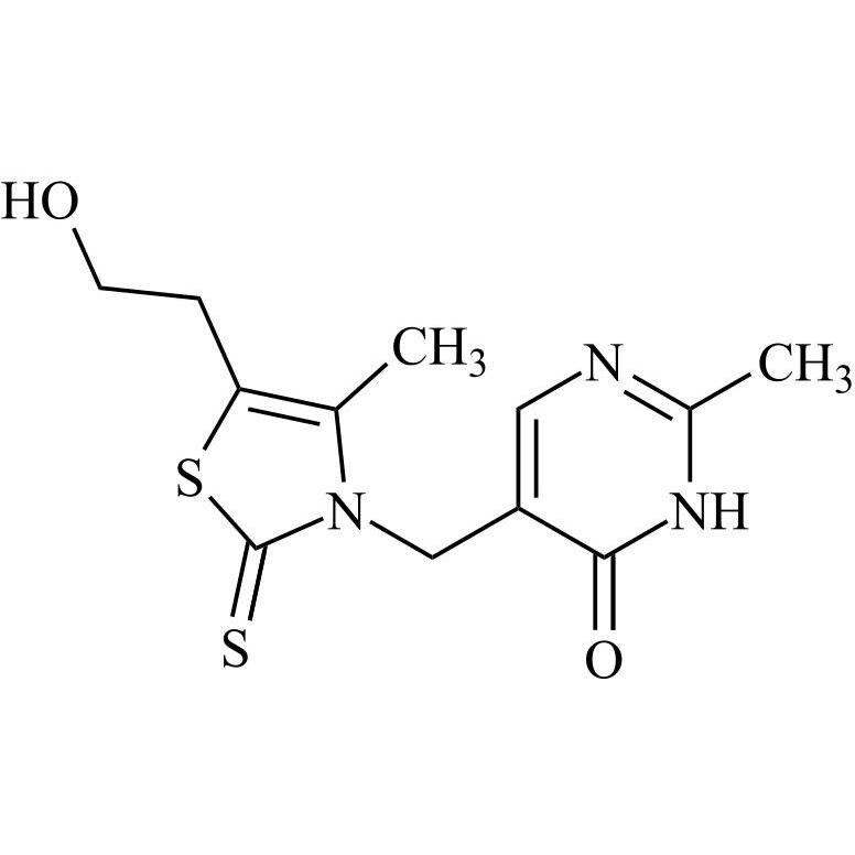
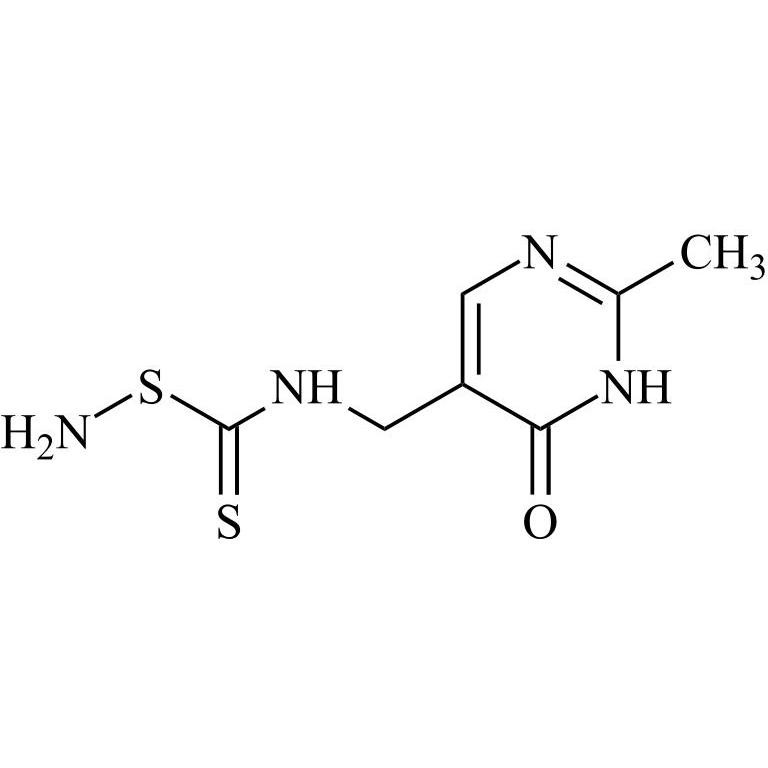
Thiamine Impurity 27 (Mixture of Tautomeric Isomers)

M.F.
M.W. 255.34
CAT# AR-T04796
CAS# 2410790-96-2 (ring close form), 2410791-57-8 (ring open form)