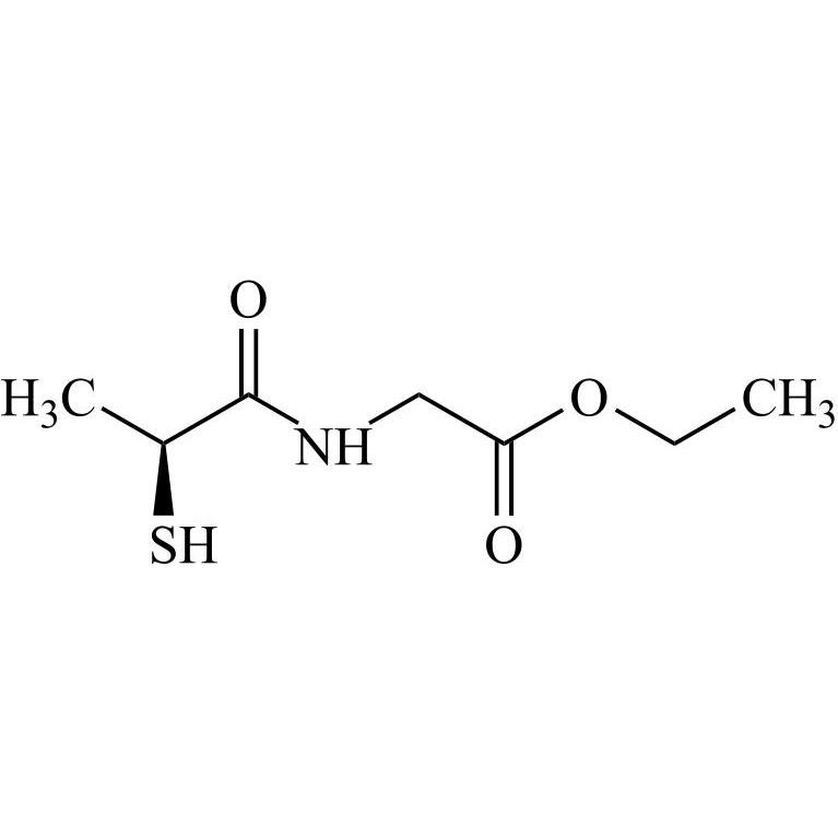
Tiopronin Related Products
Axios Research stands at the forefront of pharmaceutical reference standards ingenuity, providing high quality Tiopronin Reference Standards. These include both pharmacopeial and non-pharmacopeial Tiopronin impurities, metabolites, stable isotope products, and nitrosamines. Our Tiopronin impurity reference standards are essential for pharmaceutical research, aiding in product development, ANDA and DMF submissions, quality control (QC), method validation, and stability studies. They are also used in identifying unknown impurities and evaluating genotoxic potential. Our Tiopronin related products are meticulously characterized and come with a comprehensive Certificates of Analysis (COA) and analytical data that comply with regulatory standards.
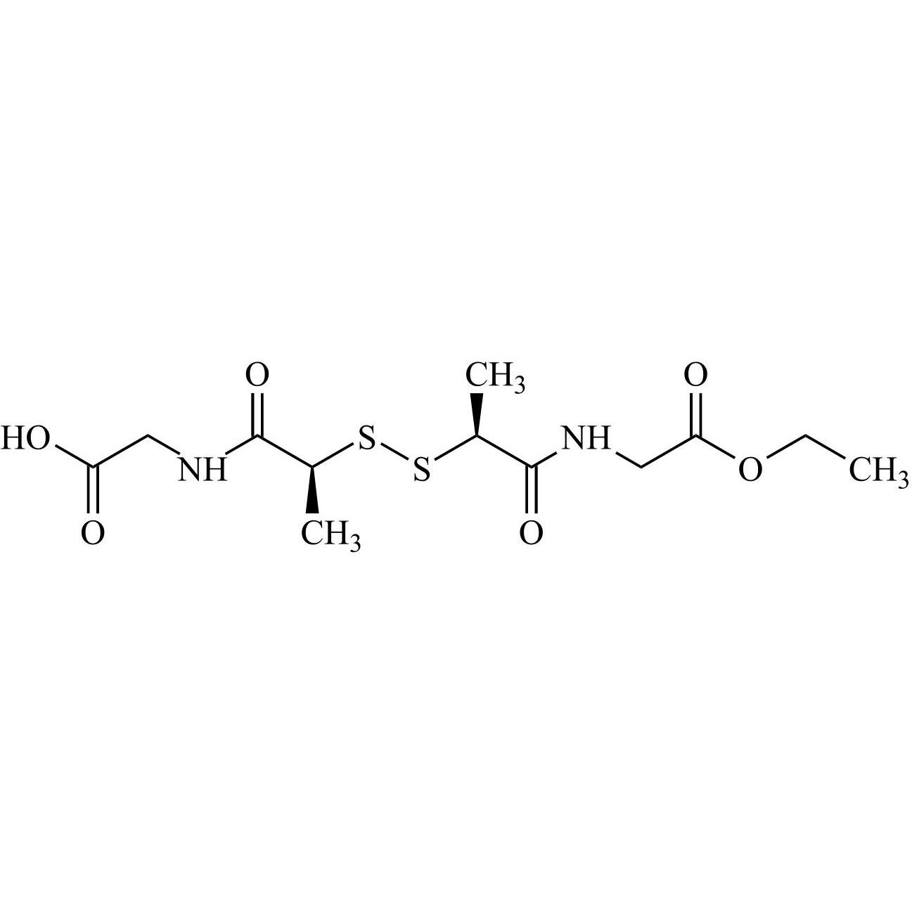
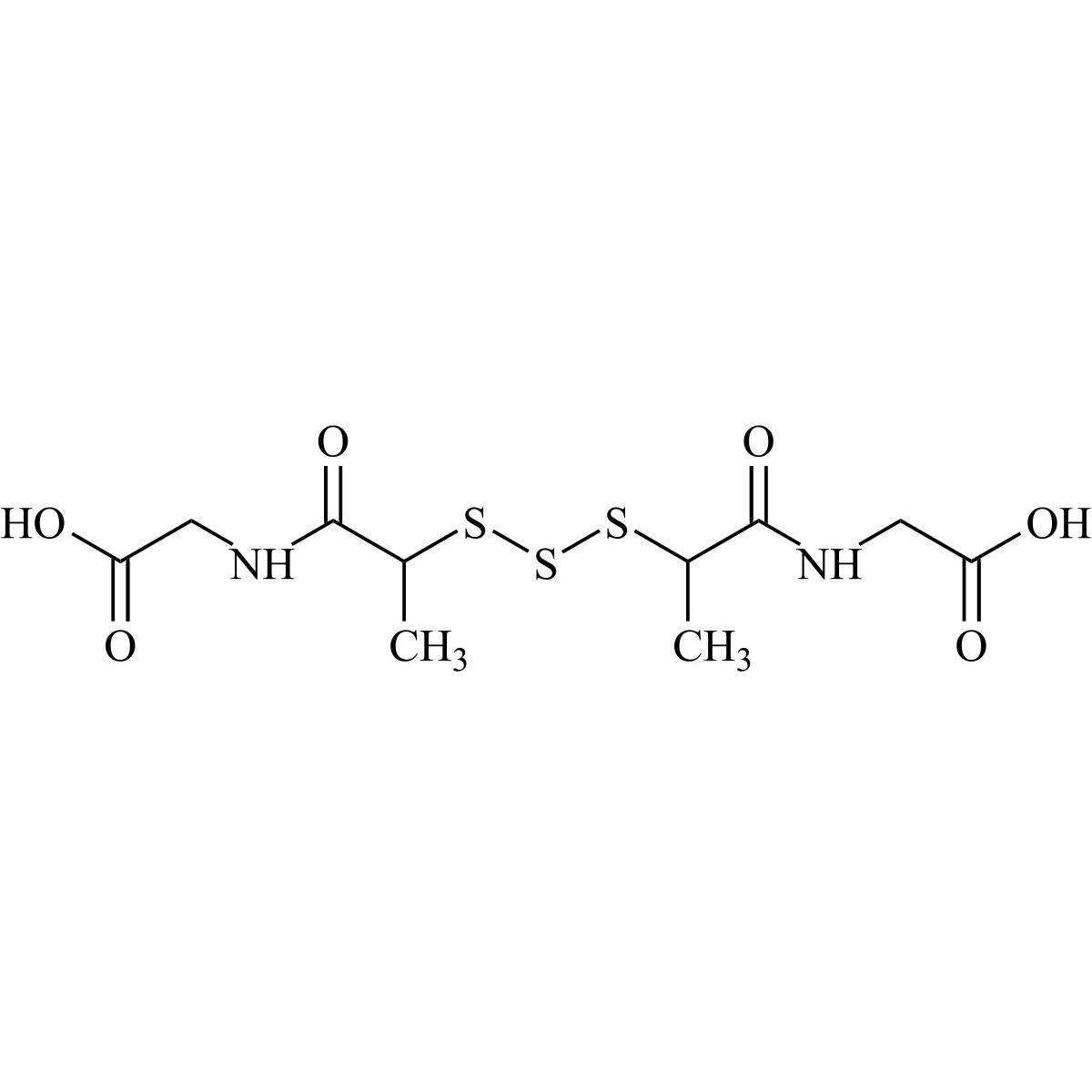
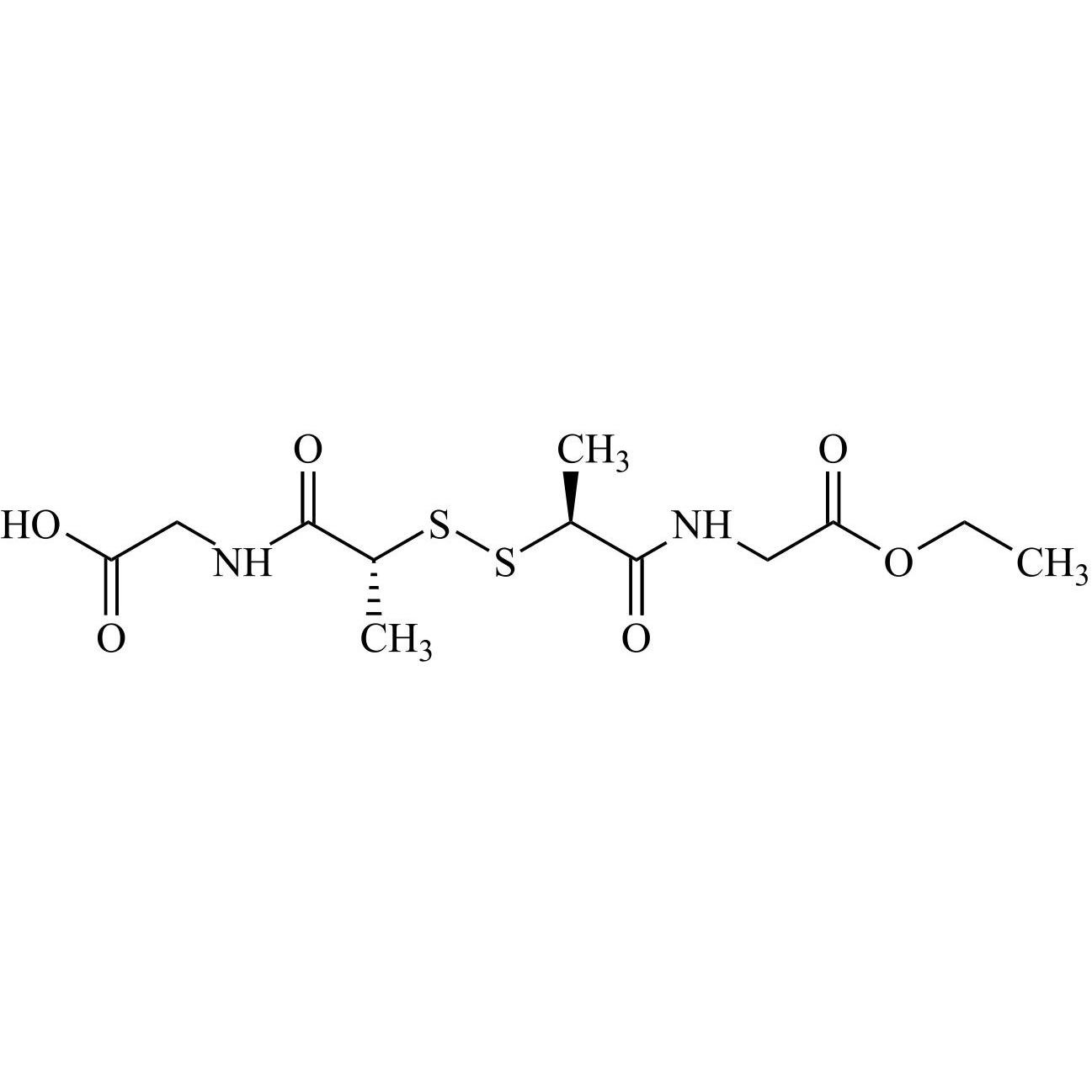
Tiopronin Dimer Disodium Salt (Mixture of Diastereoisomers)

M.F.
M.W. 322.36 2 22.99
CAT# AR-T02286
CAS# 21269-37-4 (free base)