Tretinoin Related Products
Axios Research stands at the forefront of pharmaceutical reference standards ingenuity, providing high quality Tretinoin Reference Standards. These include both pharmacopeial and non-pharmacopeial Tretinoin impurities, metabolites, stable isotope products, and nitrosamines. Our Tretinoin impurity reference standards are essential for pharmaceutical research, aiding in product development, ANDA and DMF submissions, quality control (QC), method validation, and stability studies. They are also used in identifying unknown impurities and evaluating genotoxic potential. Our Tretinoin related products are meticulously characterized and come with a comprehensive Certificates of Analysis (COA) and analytical data that comply with regulatory standards.
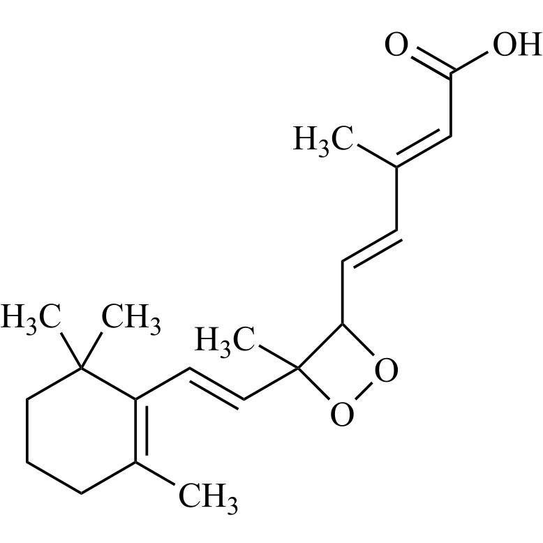
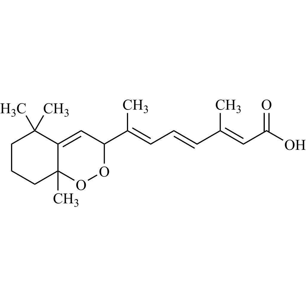
5,8-Epoxy-13-cis Retinoic Acid (Mixture of Diastereomers)

M.F.
M.W. 316.44
CAT# AR-T02879
CAS# 112018-12-9
5,8-Epoxy-all-trans-Retinoic Acid (Mixture of Diastereomers)

M.F.
M.W. 316.44
CAT# AR-T02881
CAS# 3012-76-8
Tretinoin EP Impurity C (Isotretinoin EP Impurity C) (90% Purity)

M.F.
M.W. 300.44
CAT# AR-T02885
CAS# 3555-80-4
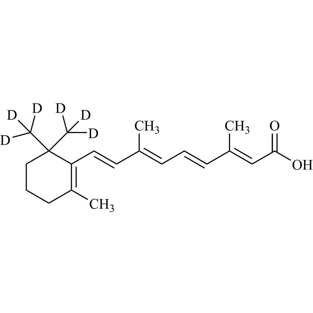
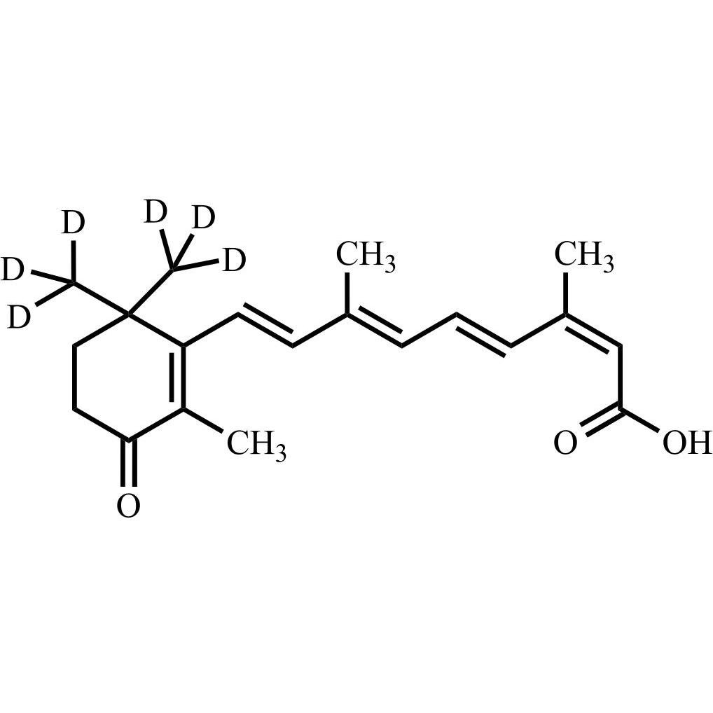
Tretinoin-d6 (Retinoic Acid-d6, Isotretinoin EP Impurity A-d6)

M.F.
M.W. 306.48
CAT# AR-T05826
CAS# NA
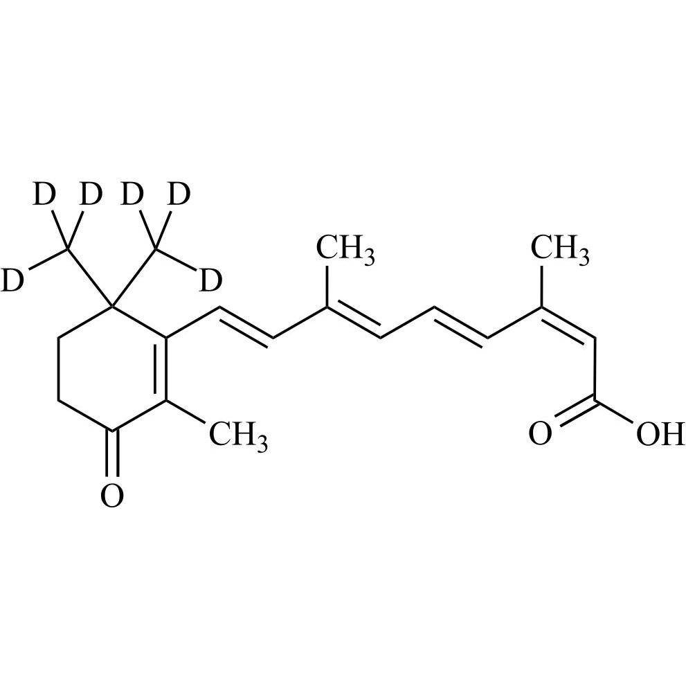
Isotretinoin EP Impurity H-d6 (4-Oxo-13-cis-Retinoic Acid-d6)

M.F.
M.W. 320.46
CAT# AR-T05827
CAS# NA
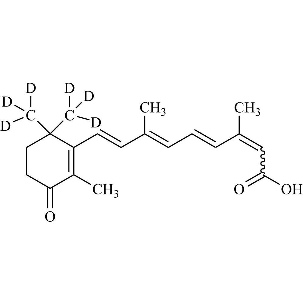
4-Oxo Tretinoin-d6 (4-Oxo Retinoic Acid-d6) and Isotretinoin EP Impurity H-d6 (4-Oxo-13-cis-Retinoic Acid-d6)

M.F.
M.W. 320.46
CAT# AR-T05828
CAS# NA