Tryptophan Related Products
Axios Research stands at the forefront of pharmaceutical reference standards ingenuity, providing high quality Tryptophan Reference Standards. These include both pharmacopeial and non-pharmacopeial Tryptophan impurities, metabolites, stable isotope products, and nitrosamines. Our Tryptophan impurity reference standards are essential for pharmaceutical research, aiding in product development, ANDA and DMF submissions, quality control (QC), method validation, and stability studies. They are also used in identifying unknown impurities and evaluating genotoxic potential. Our Tryptophan related products are meticulously characterized and come with a comprehensive Certificates of Analysis (COA) and analytical data that comply with regulatory standards.
Tryptophan EP Impurity B (Mixture of Diastereomers)

M.F.
M.W. 236.23
CAT# AR-T03132
CAS# 184955-21-3
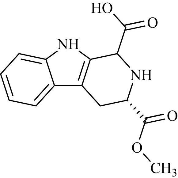
D-Tryptophan acylchloride HCl Salt

M.F.
M.W. 222.67 36.46
CAT# AR-T03146
CAS# 765229-74-1 (free base)
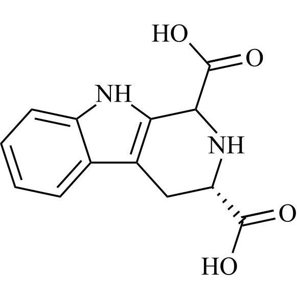
rac-Tryptophan EP Impurity G HCl

M.F.
M.W. 220.23 36.46
CAT# AR-T03131
CAS# 1313016-72-6 (free base)
Tryptophan Related Compound B (N-Acetyl-L-Tryptophan)

M.F.
M.W. 246.27
CAT# AR-T03147
CAS# 1218-34-4
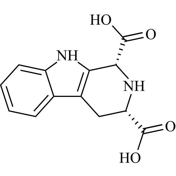
(3R)-Tryptophan EP Impurity I (Mixture of Diastereomers)

M.F.
M.W. 230.27
CAT# AR-T06161
CAS# 827304-63-2
(3S)-Tryptophan EP Impurity I (Mixture of Diastereomers)

M.F.
M.W. 230.27
CAT# AR-T06162
CAS# 191279-37-5
Tryptophan EP Impurity L Lithium Salt (Mixture of Diastereomers)

M.F.
M.W. 344.40 6.94
CAT# AR-T06154
CAS# NA
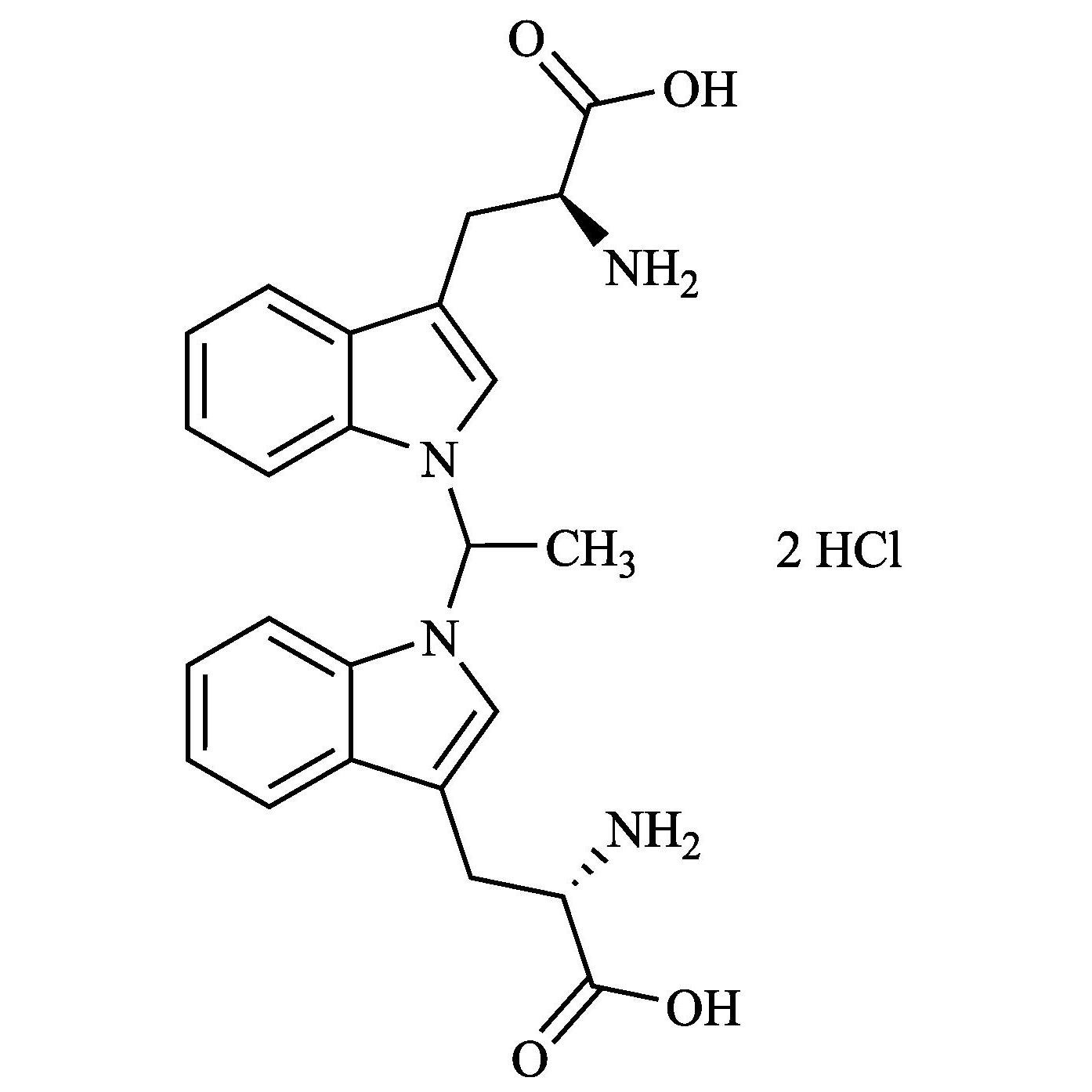
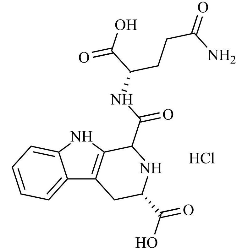
Tryptophan EP Impurity A DiHCl (Tryptophan USP Related Compound A DiHCl)

M.F.
M.W. 434.50 2*36.46
CAT# AR-T06171
CAS# NA
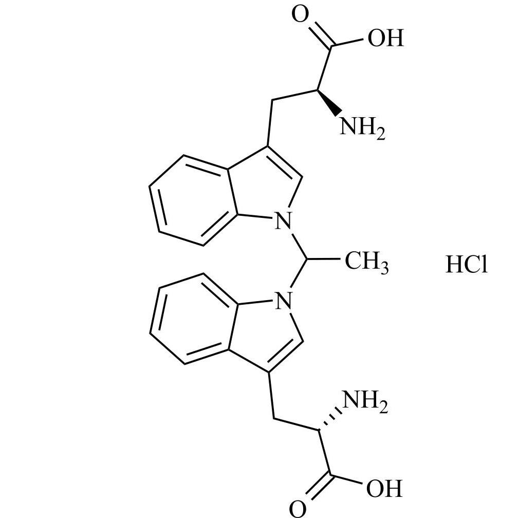
Tryptophan EP Impurity A HCl (Tryptophan USP Related Compound A HCl)

M.F.
M.W. 434.50 36.46
CAT# AR-T06172
CAS# NA
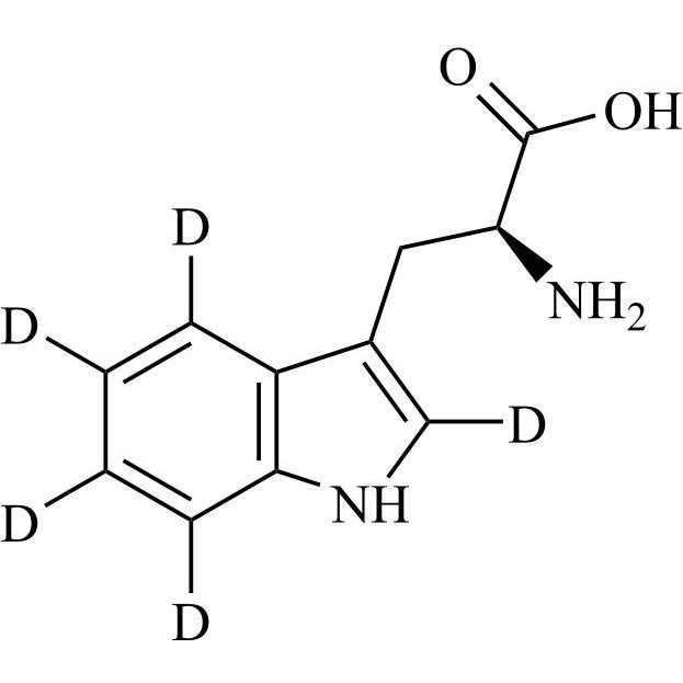
N1-Nitroso Tryptophan EP Impurity I (Mixture of Diastereomers)

M.F.
M.W. 259.27
CAT# AR-T06160
CAS# 23708-74-9