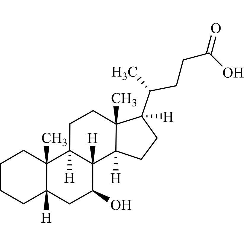
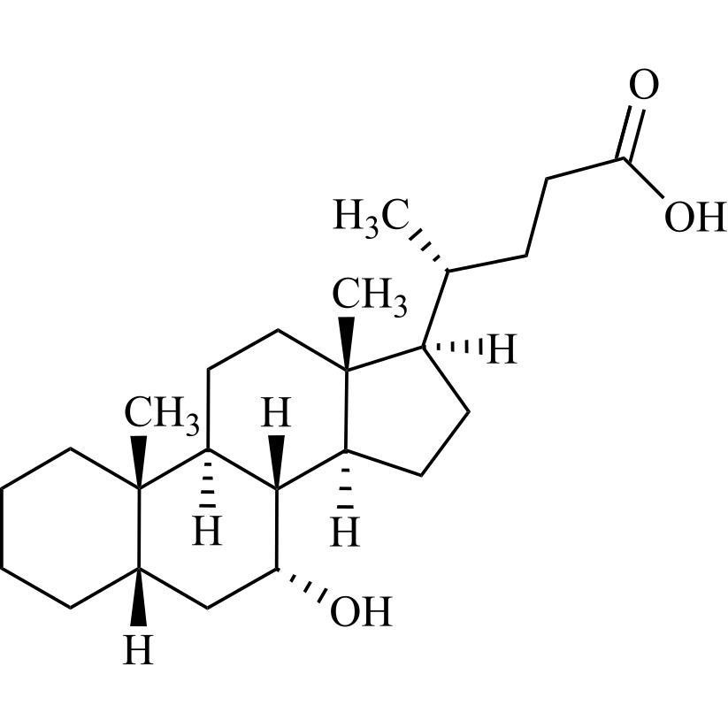
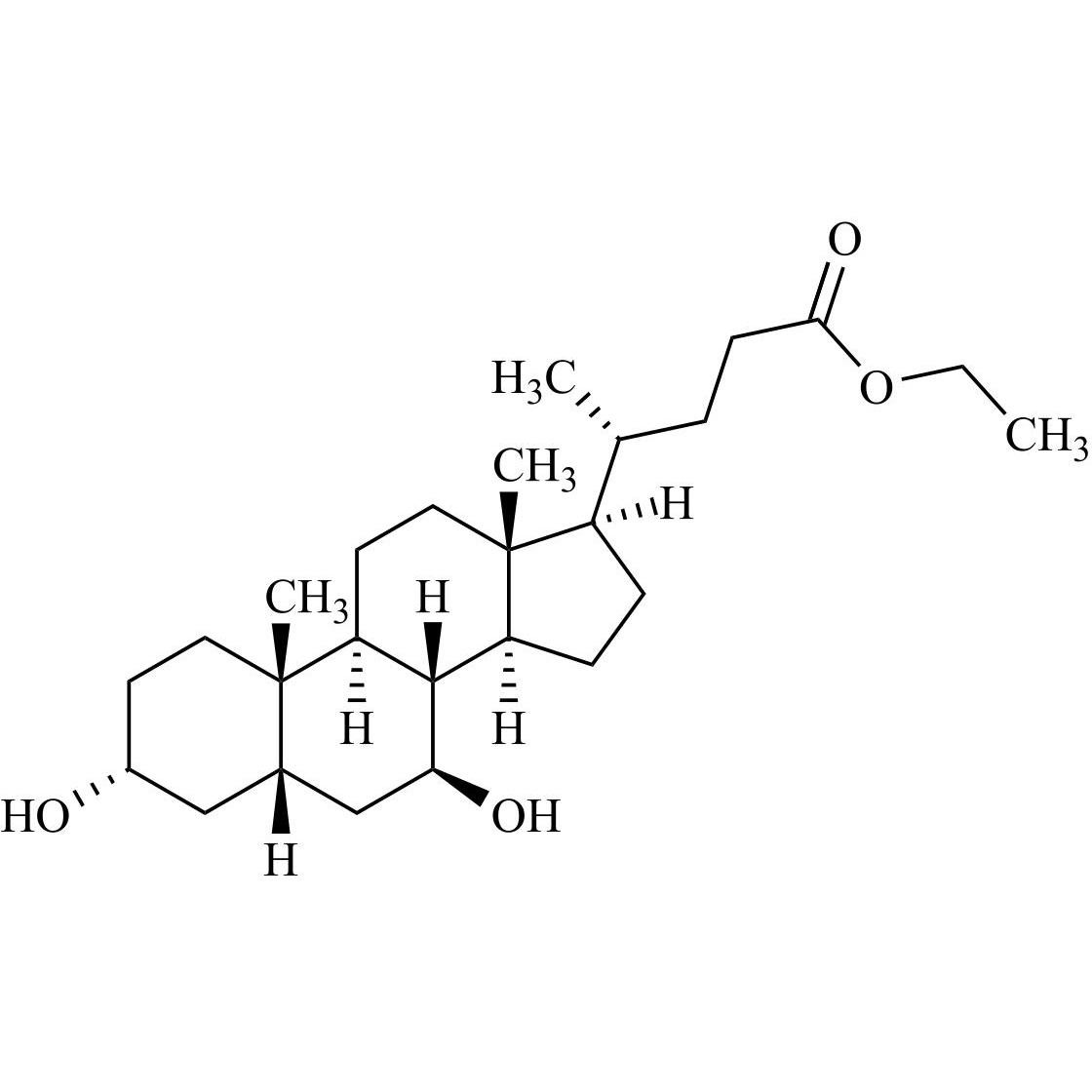
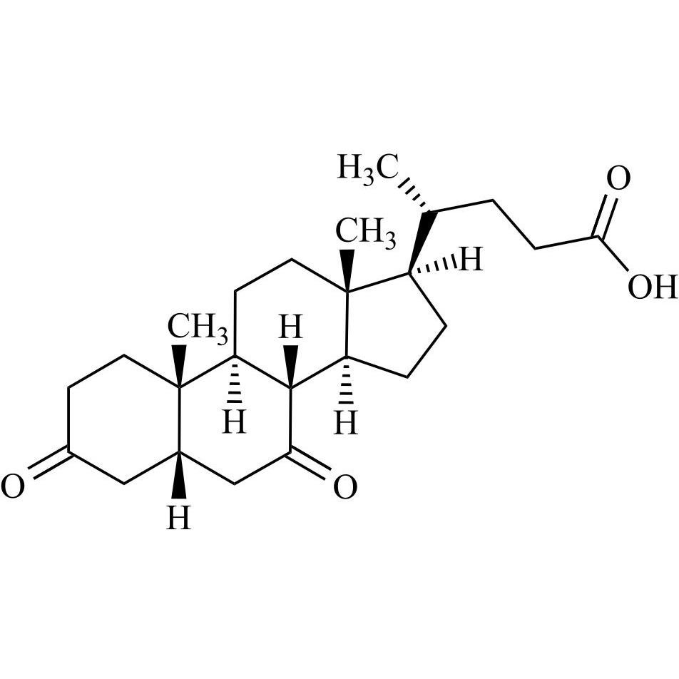
Ursodiol Related Products

Axios Research stands at the forefront of pharmaceutical reference standards ingenuity, providing high quality Ursodiol Reference Standards. These include both pharmacopeial and non-pharmacopeial Ursodiol impurities, metabolites, stable isotope products, and nitrosamines. Our Ursodiol impurity reference standards are essential for pharmaceutical research, aiding in product development, ANDA and DMF submissions, quality control (QC), method validation, and stability studies. They are also used in identifying unknown impurities and evaluating genotoxic potential. Our Ursodiol related products are meticulously characterized and come with a comprehensive Certificates of Analysis (COA) and analytical data that comply with regulatory standards.

Can't find what you are looking for?

Inquire Now