Valganciclovir Related Products
Axios Research stands at the forefront of pharmaceutical reference standards ingenuity, providing high quality Valganciclovir Reference Standards. These include both pharmacopeial and non-pharmacopeial Valganciclovir impurities, metabolites, stable isotope products, and nitrosamines. Our Valganciclovir impurity reference standards are essential for pharmaceutical research, aiding in product development, ANDA and DMF submissions, quality control (QC), method validation, and stability studies. They are also used in identifying unknown impurities and evaluating genotoxic potential. Our Valganciclovir related products are meticulously characterized and come with a comprehensive Certificates of Analysis (COA) and analytical data that comply with regulatory standards.
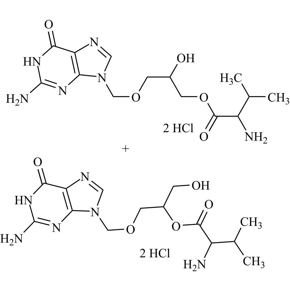
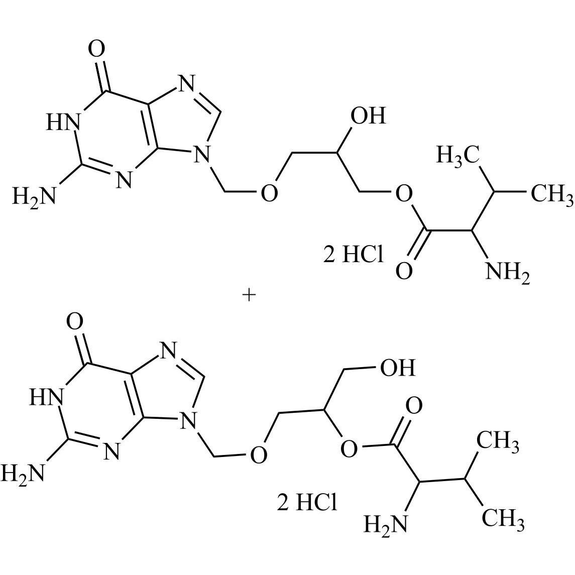
Valganciclovir Impurity 8 DiHCl (Mixture of Isomers)

M.F.
M.W. 354.37 2*36.46
CAT# AR-V06263
CAS# NA
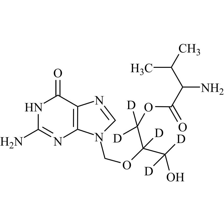
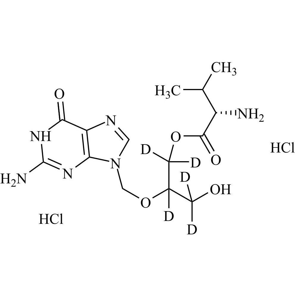
Valganciclovir Impurity 2 HCl (Mixture of Tautomeric Isomers)

M.F.
M.W. 354.37 36.46
CAT# AR-V06265
CAS# NA