Valsartan Related Products
Axios Research stands at the forefront of pharmaceutical reference standards ingenuity, providing high quality Valsartan Reference Standards. These include both pharmacopeial and non-pharmacopeial Valsartan impurities, metabolites, stable isotope products, and nitrosamines. Our Valsartan impurity reference standards are essential for pharmaceutical research, aiding in product development, ANDA and DMF submissions, quality control (QC), method validation, and stability studies. They are also used in identifying unknown impurities and evaluating genotoxic potential. Our Valsartan related products are meticulously characterized and come with a comprehensive Certificates of Analysis (COA) and analytical data that comply with regulatory standards.
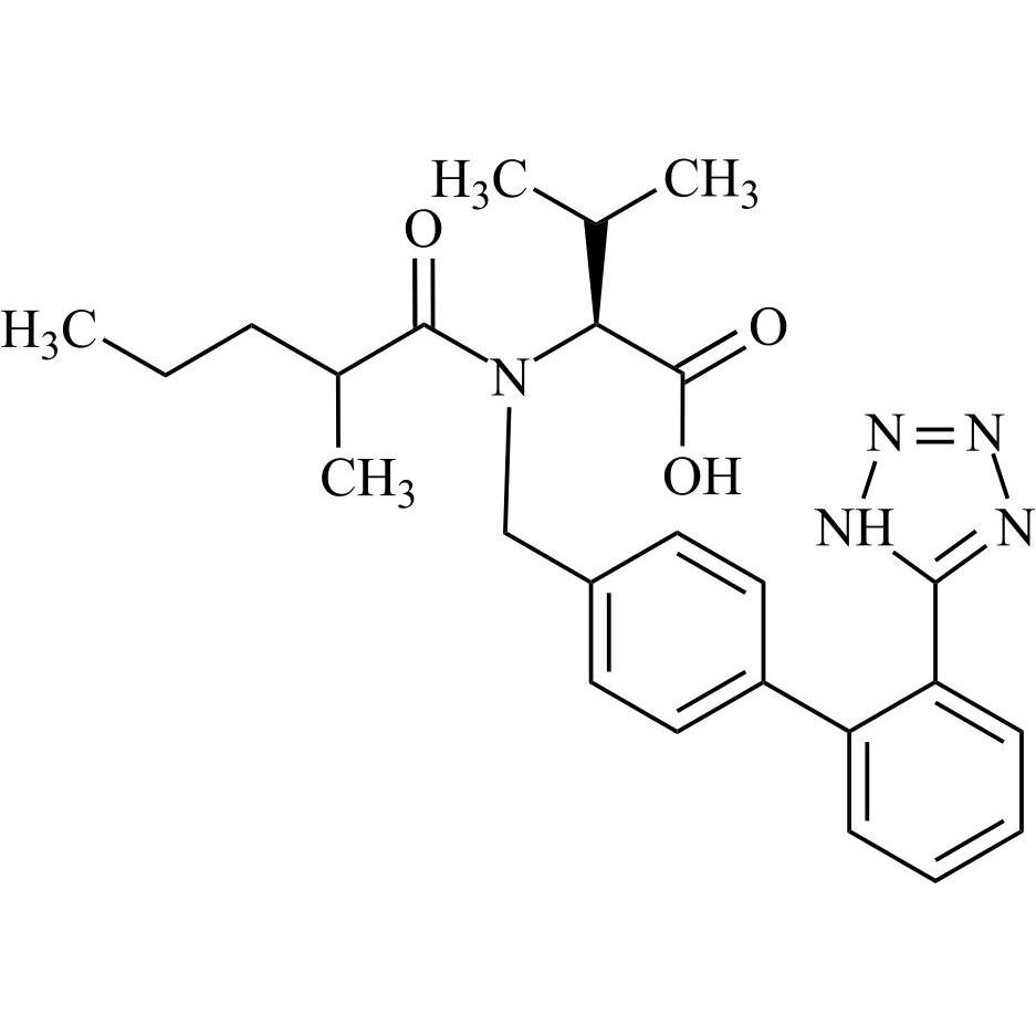
N-((2'-(1H-tetrazol-5-yl)-[1,1'-biphenyl]-4-yl)methyl)-2-methylpropan-1-amine
![Show details for N-((2'-(1H-tetrazol-5-yl)-[1,1'-biphenyl]-4-yl)methyl)-2-methylpropan-1-amine Picture of N-((2'-(1H-tetrazol-5-yl)-[1,1'-biphenyl]-4-yl)methyl)-2-methylpropan-1-amine](https://bc3c83a0874864a50753-7010fd7f2bdf81ab41ee28479491701e.ssl.cf2.rackcdn.com/media//catalog/AR-V01128.jpg?size=256)
M.F.
M.W. 307.39
CAT# AR-V01128
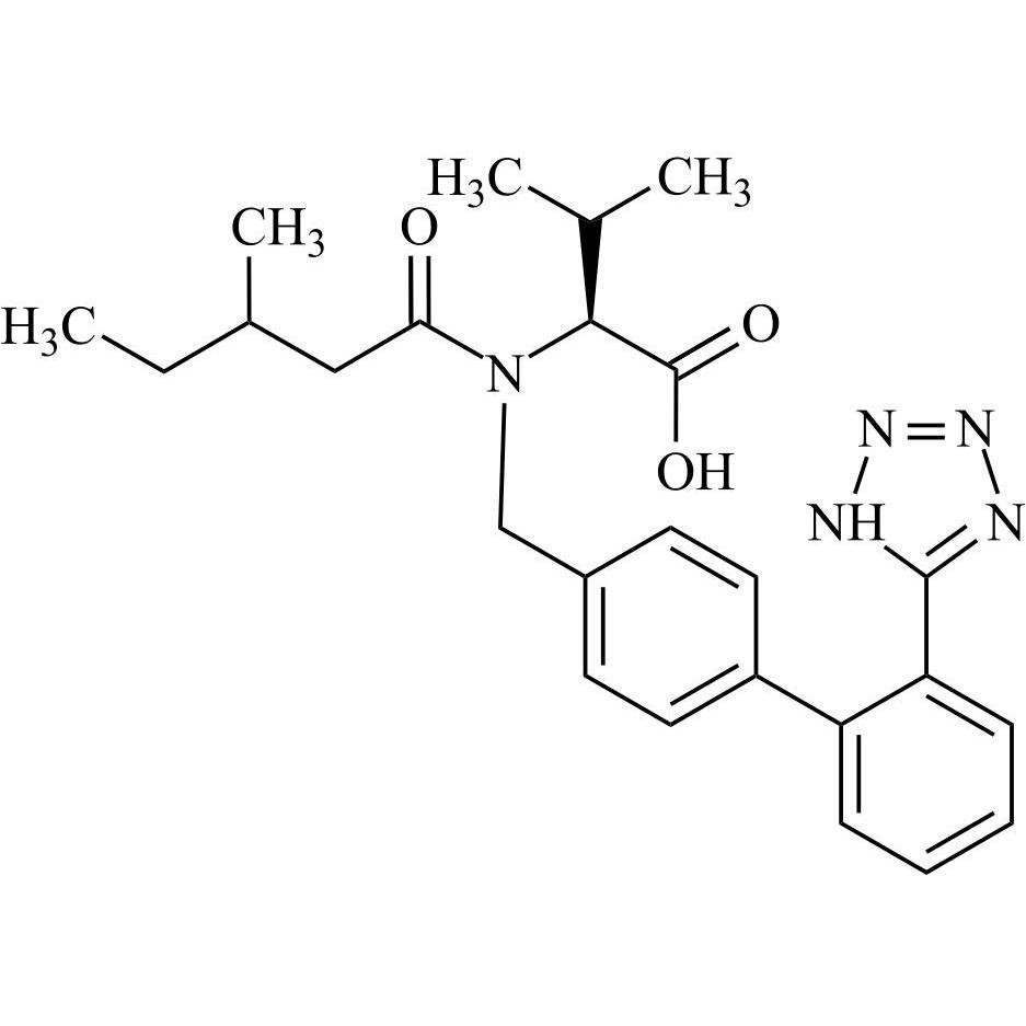
CAS# 1266616-11-8
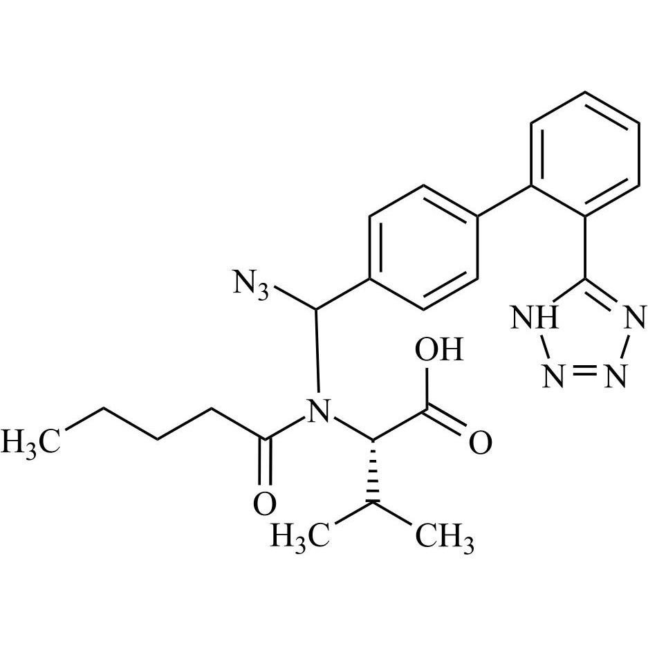
Des-[(S)-3-Methyl-2-pentanamidobutanoic Acid]; Valsartan 4’-Azidomethyl
![Show details for Des-[(S)-3-Methyl-2-pentanamidobutanoic Acid]; Valsartan 4’-Azidomethyl Picture of Des-[(S)-3-Methyl-2-pentanamidobutanoic Acid]; Valsartan 4’-Azidomethyl](https://bc3c83a0874864a50753-7010fd7f2bdf81ab41ee28479491701e.ssl.cf2.rackcdn.com/media//catalog/AR-V05976.jpg?size=256)
M.F.
M.W. 277.28
CAT# AR-V05976
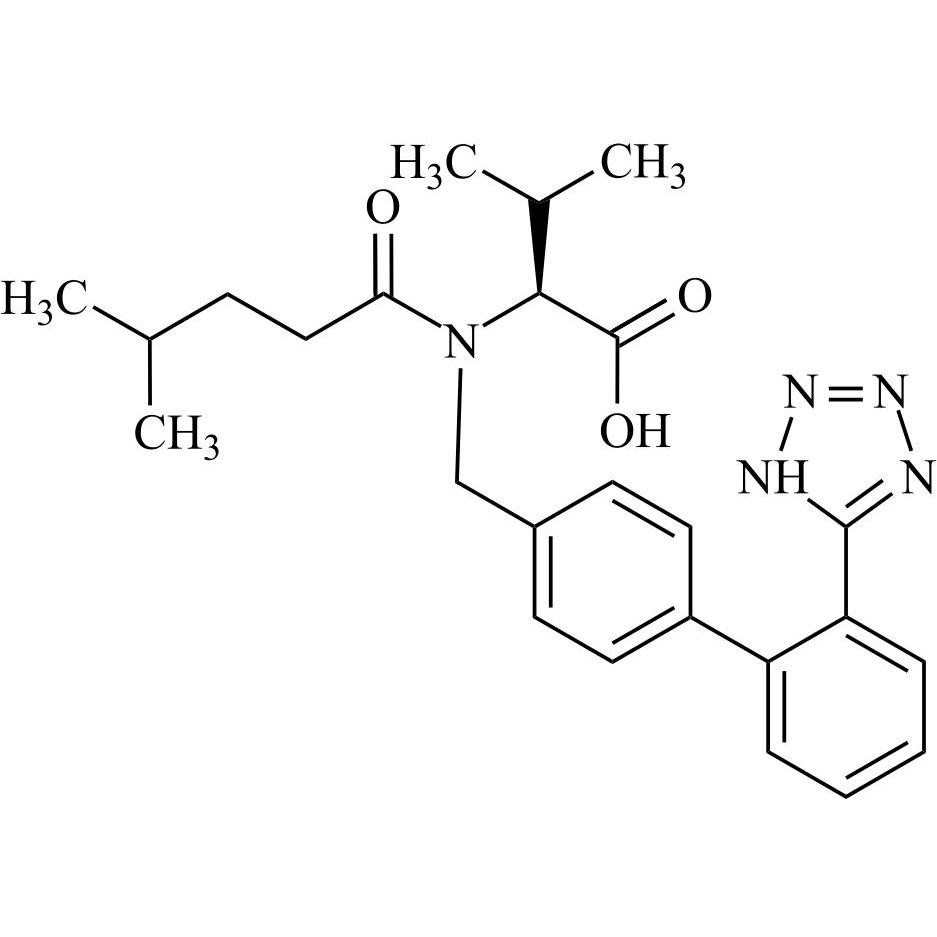
CAS# 152708-24-2