Vasopressin Related Products
Axios Research stands at the forefront of pharmaceutical reference standards ingenuity, providing high quality Vasopressin Reference Standards. These include both pharmacopeial and non-pharmacopeial Vasopressin impurities, metabolites, stable isotope products, and nitrosamines. Our Vasopressin impurity reference standards are essential for pharmaceutical research, aiding in product development, ANDA and DMF submissions, quality control (QC), method validation, and stability studies. They are also used in identifying unknown impurities and evaluating genotoxic potential. Our Vasopressin related products are meticulously characterized and come with a comprehensive Certificates of Analysis (COA) and analytical data that comply with regulatory standards.
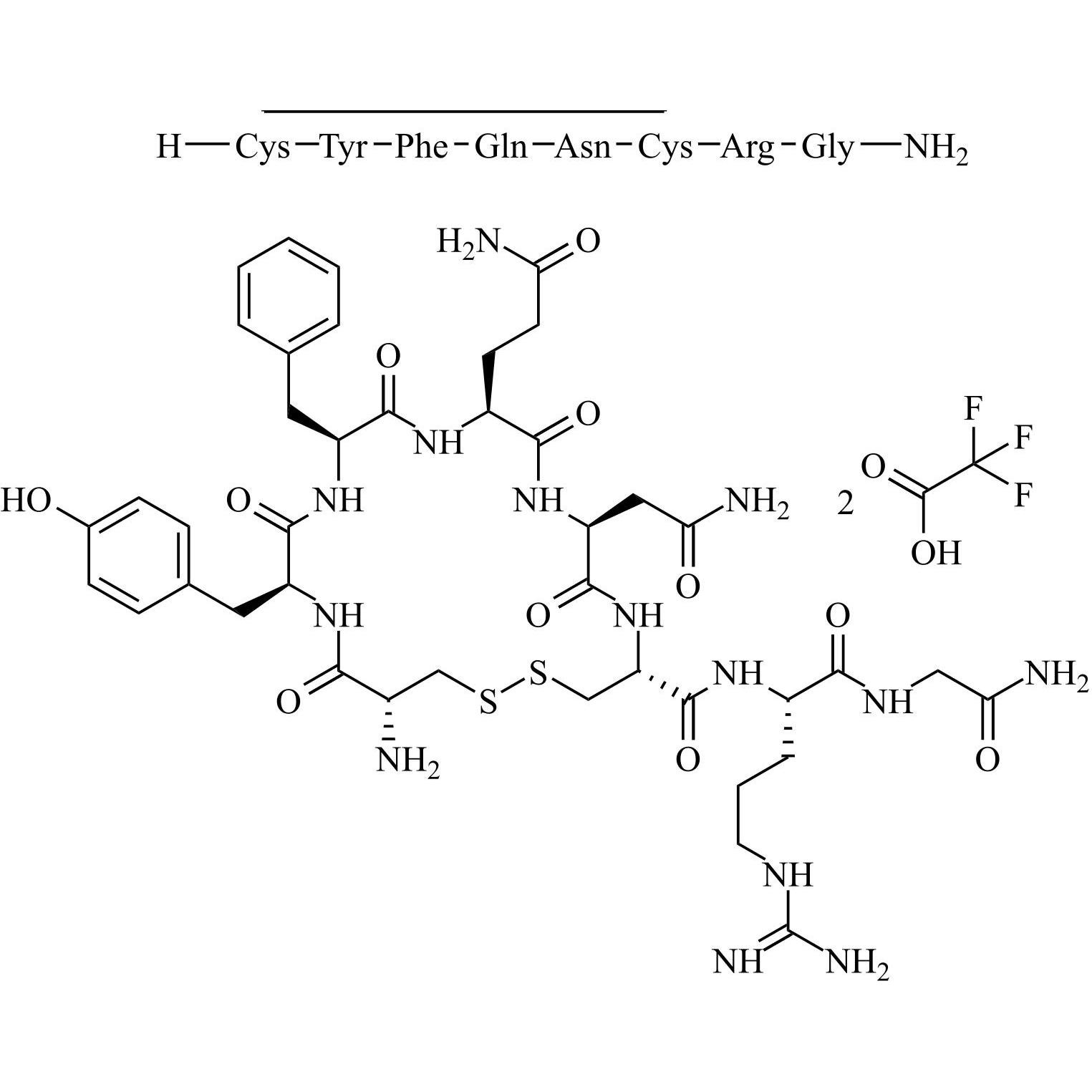
Vasopressin Impurity 4 Ditrifluoroacetate (Vasopressin Trisulphide Impurity Ditrifluoroacetate)

M.F.
M.W. 1116.30 2*114.02
CAT# AR-V06439
CAS# NA
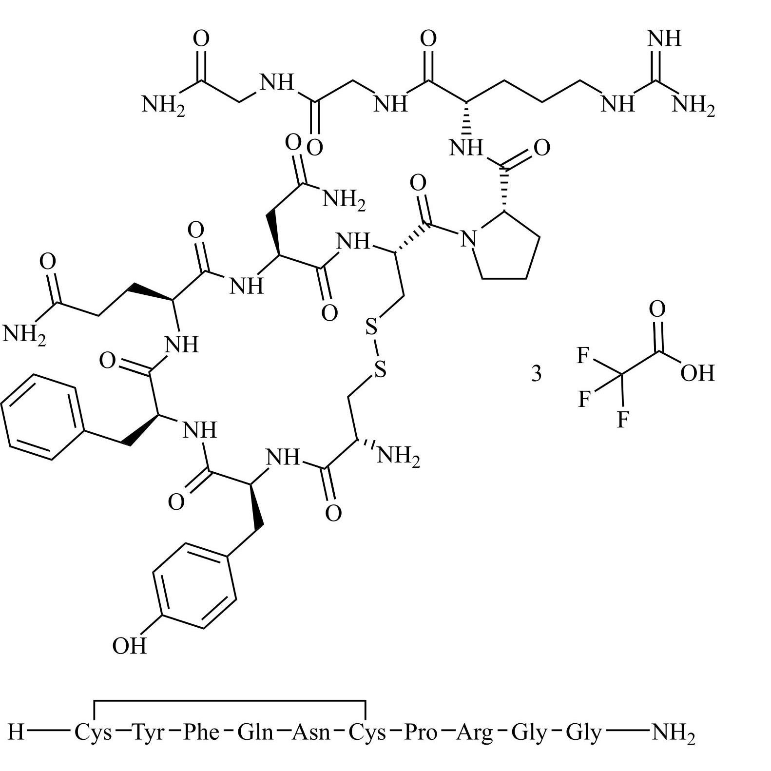
endo-Gly10a-Vasopressin Tritrifluoroacetate (Gly10-CONH2-Vasopressin)

M.F.
M.W. 1141.29 3*114.02
CAT# AR-V06446
CAS# NA