Vecuronium Bromide Related Products
Axios Research stands at the forefront of pharmaceutical reference standards ingenuity, providing high quality Vecuronium Bromide Reference Standards. These include both pharmacopeial and non-pharmacopeial Vecuronium Bromide impurities, metabolites, stable isotope products, and nitrosamines. Our Vecuronium Bromide impurity reference standards are essential for pharmaceutical research, aiding in product development, ANDA and DMF submissions, quality control (QC), method validation, and stability studies. They are also used in identifying unknown impurities and evaluating genotoxic potential. Our Vecuronium Bromide related products are meticulously characterized and come with a comprehensive Certificates of Analysis (COA) and analytical data that comply with regulatory standards.
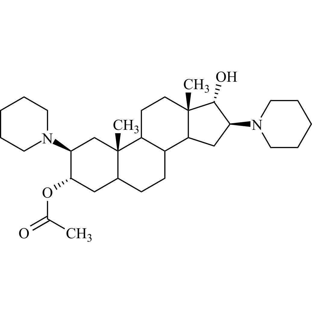
Vecuronium Bromide EP Impurity E Bromide (Vecuronium Bromide USP Related Compound B)

M.F.
M.W. 515.81 79.90
CAT# AR-V06458
CAS# 50587-95-6