Verapamil Related Products
Axios Research stands at the forefront of pharmaceutical reference standards ingenuity, providing high quality Verapamil Reference Standards. These include both pharmacopeial and non-pharmacopeial Verapamil impurities, metabolites, stable isotope products, and nitrosamines. Our Verapamil impurity reference standards are essential for pharmaceutical research, aiding in product development, ANDA and DMF submissions, quality control (QC), method validation, and stability studies. They are also used in identifying unknown impurities and evaluating genotoxic potential. Our Verapamil related products are meticulously characterized and come with a comprehensive Certificates of Analysis (COA) and analytical data that comply with regulatory standards.
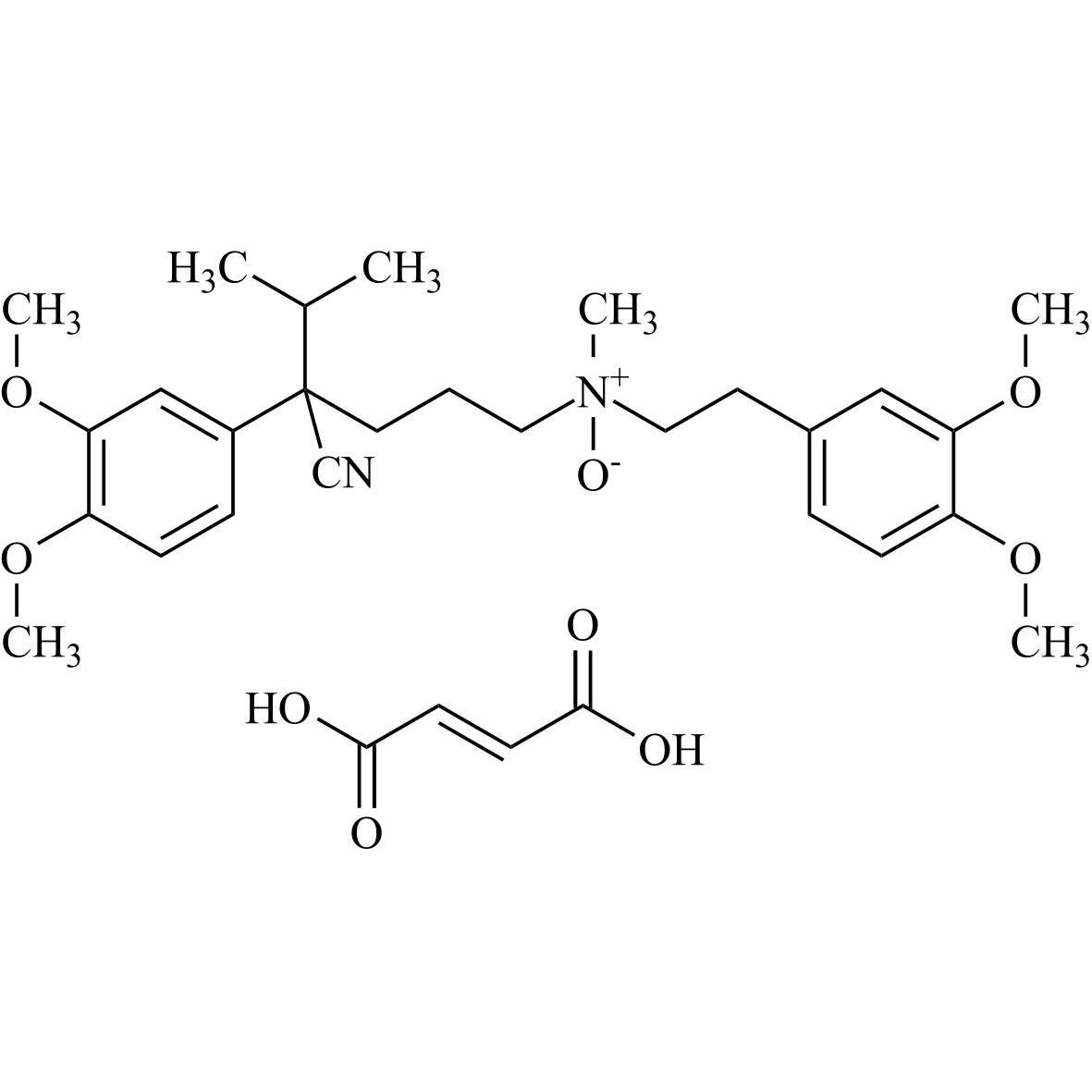
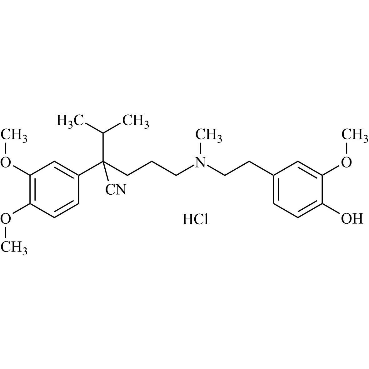
Verapamil EP Impurity M HCl (Mixture of Diastereomers)

M.F.
M.W. 699.94 36.46
CAT# AR-V01313
CAS# 190850-50-1
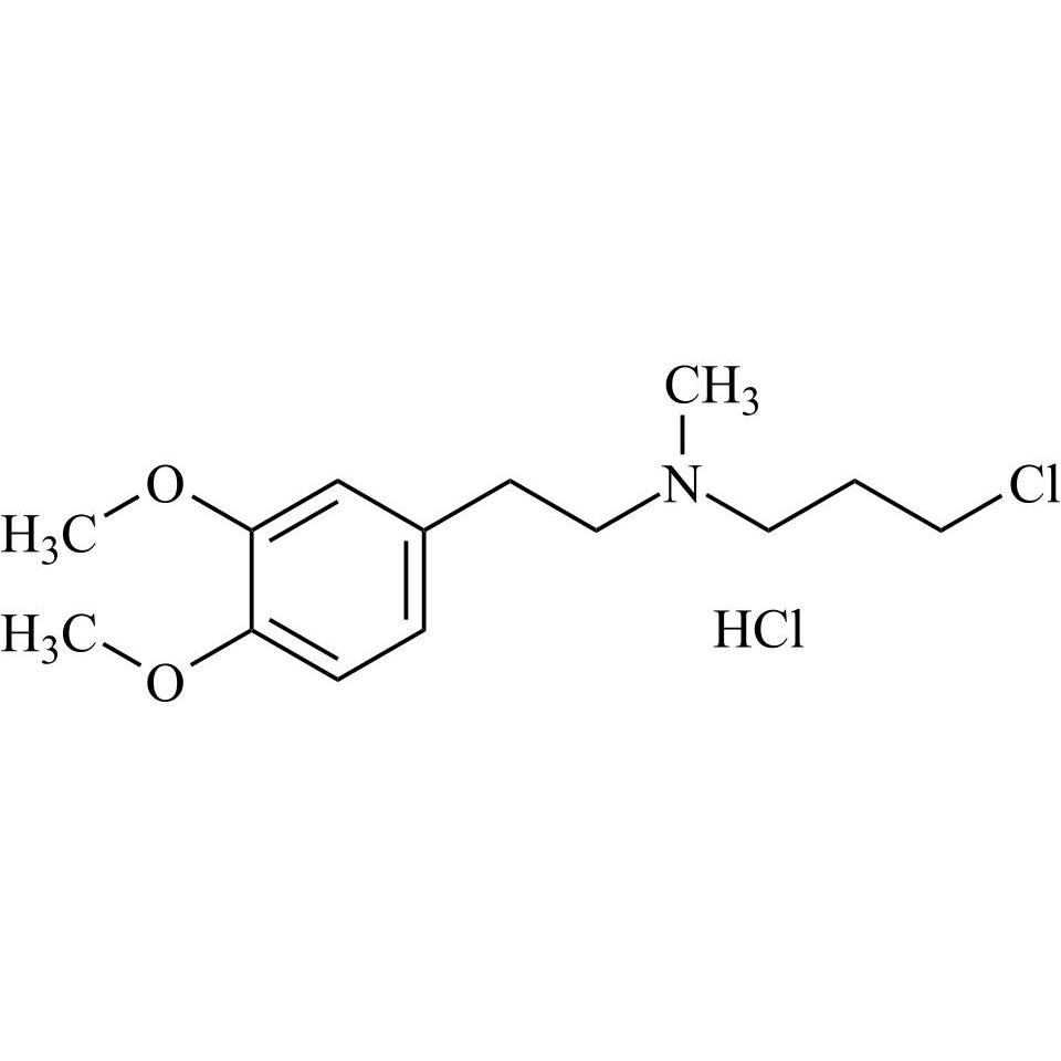
Verapamil Impurity 1 hydrobromide

M.F.
M.W. 209.29 80.91
CAT# AR-V01317
CAS# 1551304-28-9 (free base)
N-Nitroso Verapamil EP Impurity J (N-Nitroso N-Desmethyl Verapamil, N-Nitroso Norverapamil)

M.F.
M.W. 469.58
CAT# AR-V07174
CAS# NA
N-Nitroso Verapamil Dimer II (1R - Mixture of diastereomers)

M.F.
M.W. 564.73
CAT# AR-V07175
CAS# NA
N-Nitroso Verapamil Dimer II (1S - Mixture of diastereomers)

M.F.
M.W. 564.73
CAT# AR-V07176
CAS# NA
N-Nitroso Verapamil EP Impurity F (N-Nitroso Verapamil USP Related Compound A (Free Form))

M.F.
M.W. 319.41
CAT# AR-V06517
CAS# NA