Vibegron Related Products
Axios Research stands at the forefront of pharmaceutical reference standards ingenuity, providing high quality Vibegron Reference Standards. These include both pharmacopeial and non-pharmacopeial Vibegron impurities, metabolites, stable isotope products, and nitrosamines. Our Vibegron impurity reference standards are essential for pharmaceutical research, aiding in product development, ANDA and DMF submissions, quality control (QC), method validation, and stability studies. They are also used in identifying unknown impurities and evaluating genotoxic potential. Our Vibegron related products are meticulously characterized and come with a comprehensive Certificates of Analysis (COA) and analytical data that comply with regulatory standards.
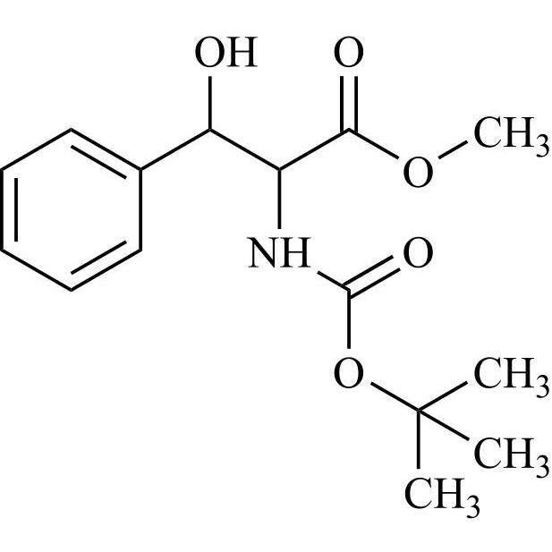
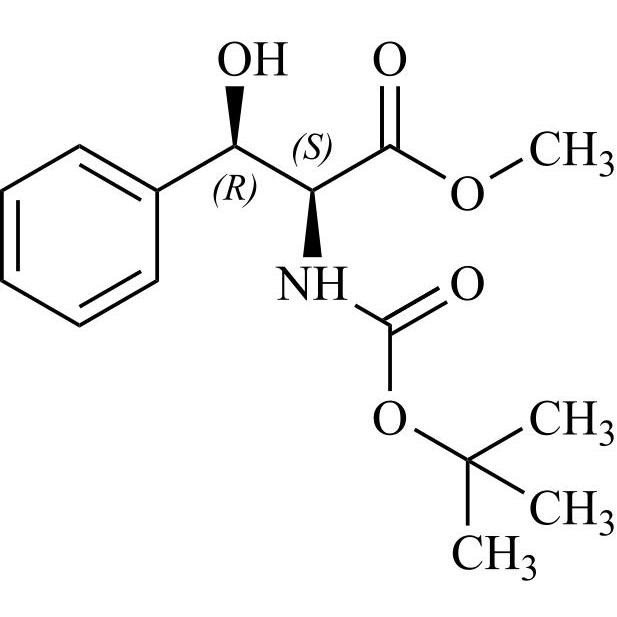
Vibegron Impurity 9 (mixture of 1R,2S and 1S,2R diastereomers)

M.F.
M.W. 289.38
CAT# AR-V07142
CAS# NA