Vitamin E Related Products
Axios Research stands at the forefront of pharmaceutical reference standards ingenuity, providing high quality Vitamin E Reference Standards. These include both pharmacopeial and non-pharmacopeial Vitamin E impurities, metabolites, stable isotope products, and nitrosamines. Our Vitamin E impurity reference standards are essential for pharmaceutical research, aiding in product development, ANDA and DMF submissions, quality control (QC), method validation, and stability studies. They are also used in identifying unknown impurities and evaluating genotoxic potential. Our Vitamin E related products are meticulously characterized and come with a comprehensive Certificates of Analysis (COA) and analytical data that comply with regulatory standards.
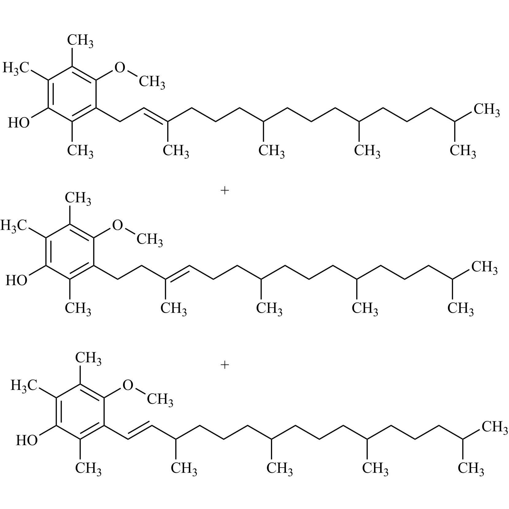
All-rac-alfa-Tocopherol EP Impurity A (Mixture of Diastereomers)

M.F.
M.W. 430.72
CAT# AR-V01564
CAS# 185672-33-7
All-rac-alfa-Tocopherol EP Impurity B (Mixture of Diastereomers)

M.F.
M.W. 430.72
CAT# AR-V01565
CAS# NA
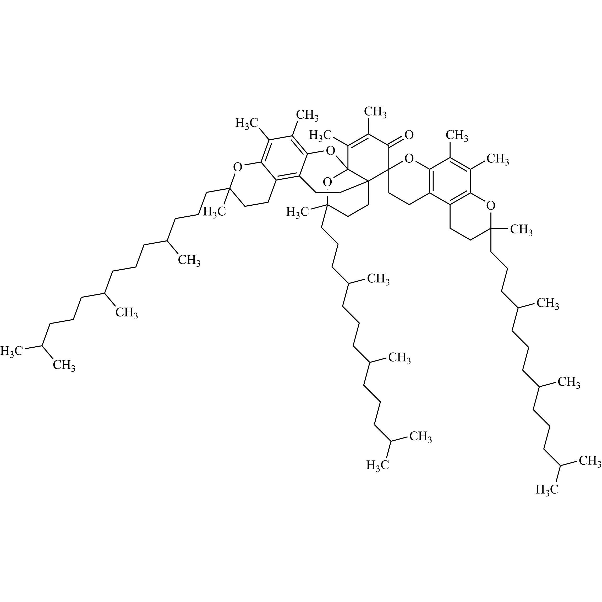
Tocopherol EP Impurity D (Vitamin E Impurity E) - (Mixture of Isomers)

M.F.
M.W. 557.05
CAT# AR-V01582
CAS# NA
Tocopherol Impurity 2 (Deshydroxy Tocopherol Quinone)

M.F.
M.W. 430.72
CAT# AR-V01577
CAS# 75917-94-1
All-rac-alfa-Tocopheryl Acetate EP Impurity D (Mixture of Isomers)

M.F.
M.W. 486.79
CAT# AR-V07150
CAS# 2734344-00-2