Clomiphene Related Products
Axios Research stands at the forefront of pharmaceutical reference standards ingenuity, providing high quality Clomiphene Reference Standards. These include both pharmacopeial and non-pharmacopeial Clomiphene impurities, metabolites, stable isotope products, and nitrosamines. Our Clomiphene impurity reference standards are essential for pharmaceutical research, aiding in product development, ANDA and DMF submissions, quality control (QC), method validation, and stability studies. They are also used in identifying unknown impurities and evaluating genotoxic potential. Our Clomiphene related products are meticulously characterized and come with a comprehensive Certificates of Analysis (COA) and analytical data that comply with regulatory standards.
N-Desethyl Clomiphene HCl (Mixture of Z and E Isomers)

M.F.
M.W. 377.92 36.46
CAT# AR-C03199
CAS# 1310815-19-0
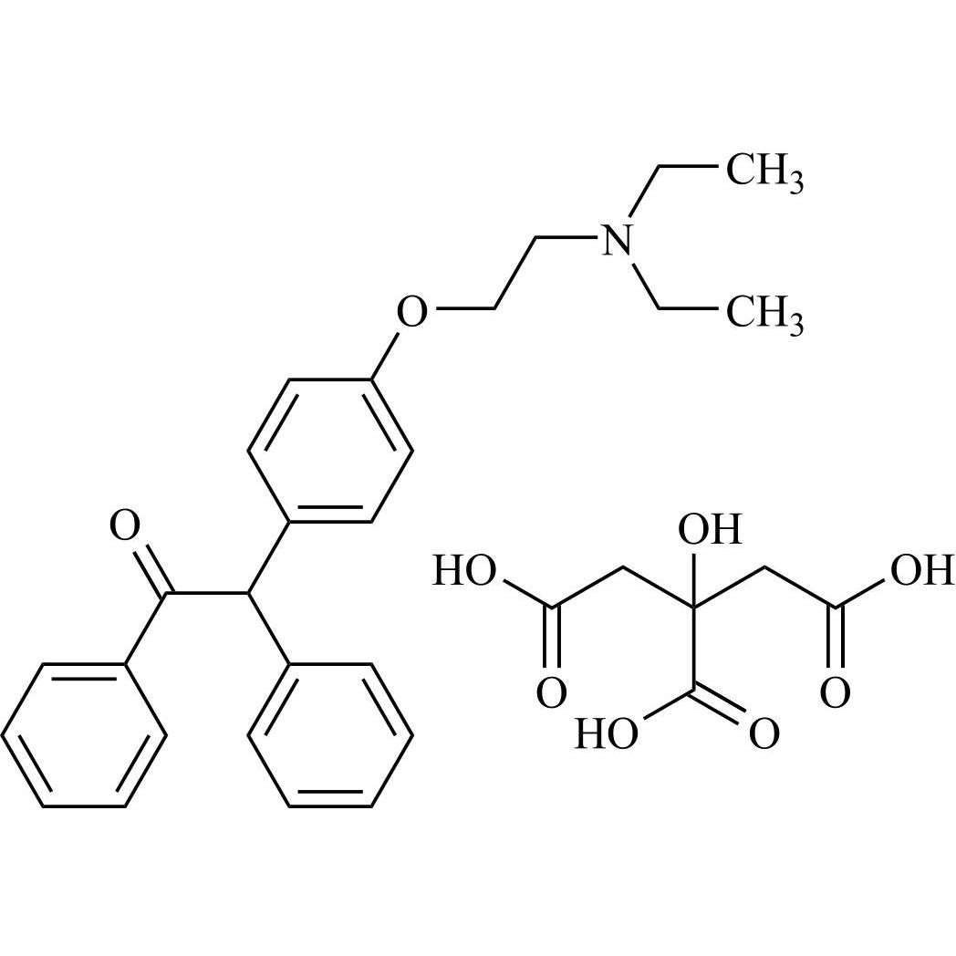
1-(4-(2-(diethylamino)ethoxy)phenyl)-1,2-diphenylethanol

M.F.
M.W. 389.54
CAT# AR-C03200
CAS# 73404-00-9
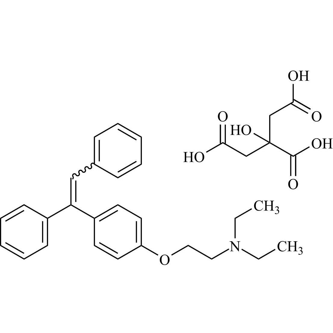
Clomiphene EP Impurity G, H Citrate (Mixture of Z and E Isomers)

M.F.
M.W. 440.42 192.13
CAT# AR-C03197
CAS# 1795130-18-5
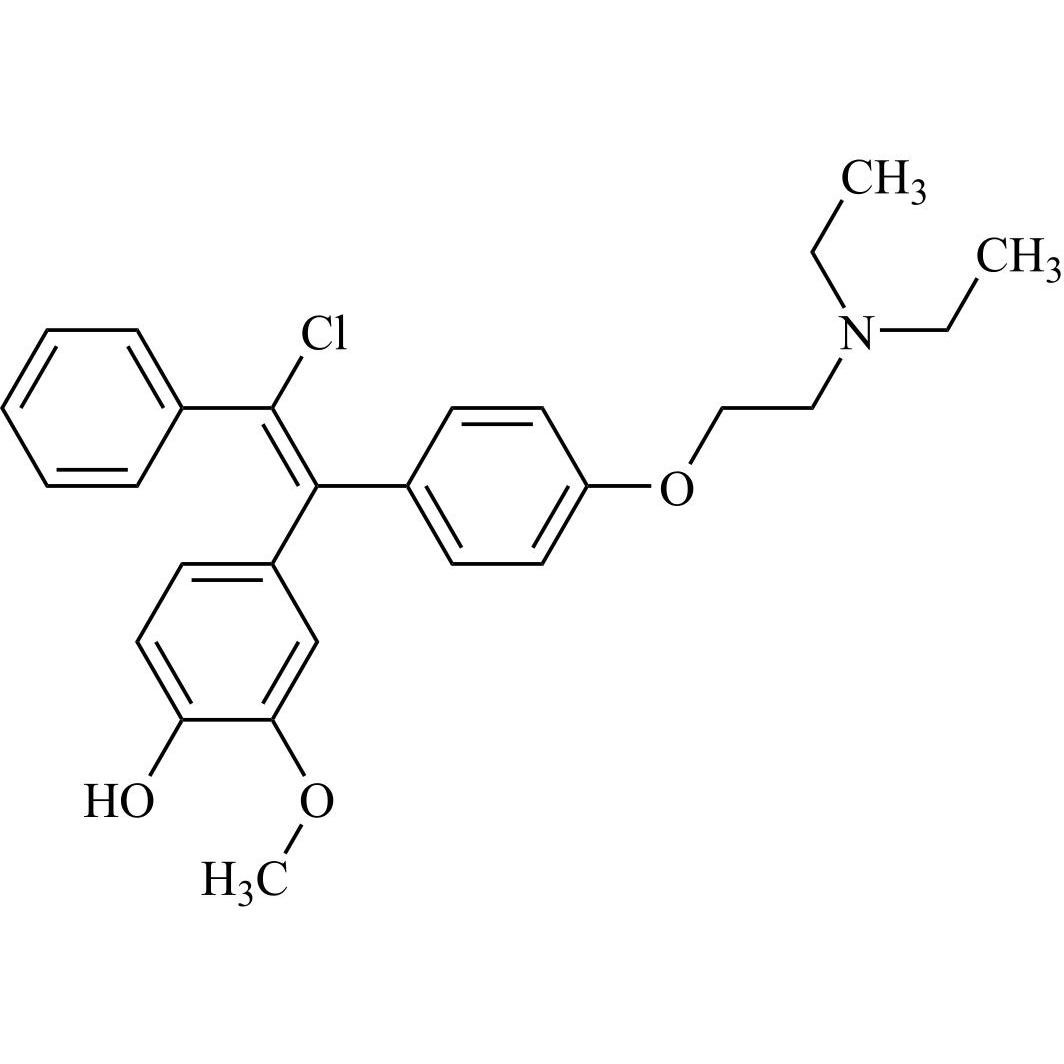
Clomiphene Impurity 8 HCl (Mixture of Z and E Isomers)
M.F.
M.W. 496.09 36.46
CAT# AR-C08067
CAS# NA
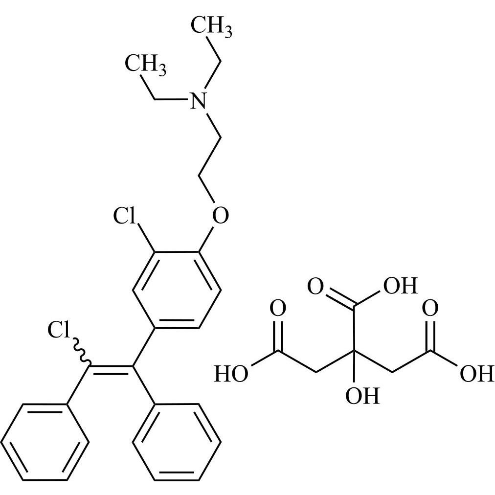
Clomiphene Impurity 8 Citrate (Mixture of Z and E Isomers)

M.F.
M.W. 496.09 192.12
CAT# AR-C08066
CAS# NA
trans-Clomiphene-d5 HCl (Enclomiphene-d5 HCl)

M.F.
M.W. 411.00 36.46
CAT# AR-C03193
CAS# 14158-65-7 (non-labelled)
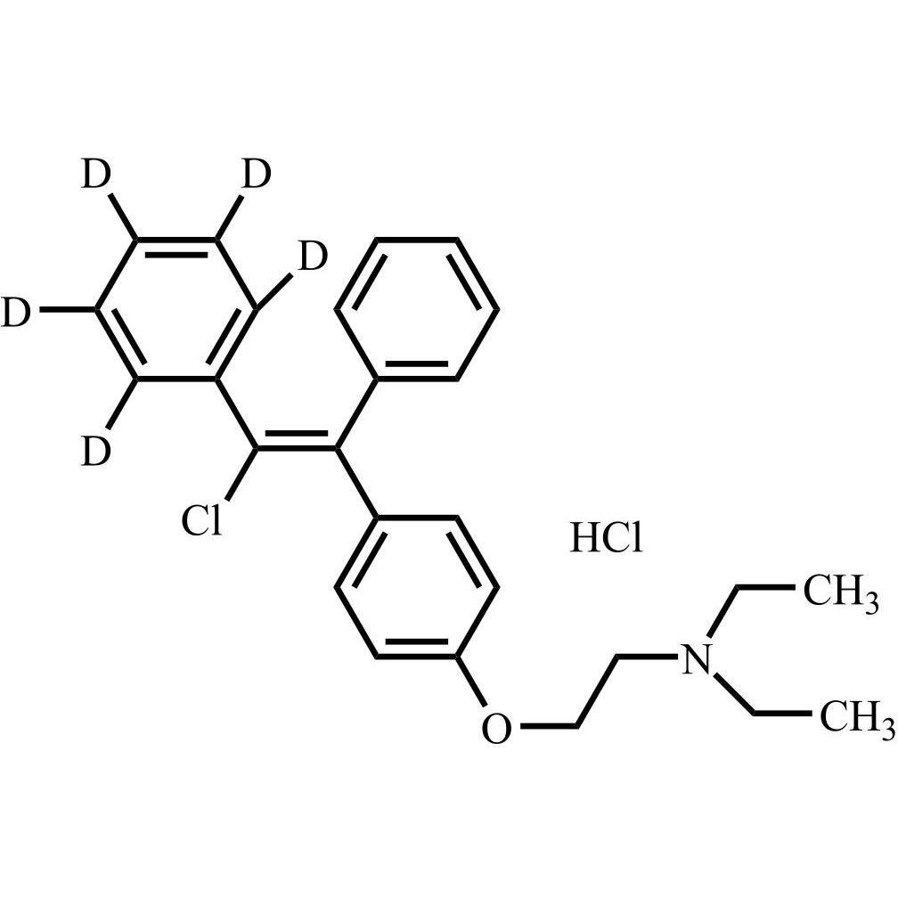
Clomiphene-d5 HCl (Mixture of Z and E Isomers)

M.F.
M.W. 411.00 36.46
CAT# AR-C08071
CAS# 1346606-66-3