Perindopril Related Products
Axios Research stands at the forefront of pharmaceutical reference standards ingenuity, providing high quality Perindopril Reference Standards. These include both pharmacopeial and non-pharmacopeial Perindopril impurities, metabolites, stable isotope products, and nitrosamines. Our Perindopril impurity reference standards are essential for pharmaceutical research, aiding in product development, ANDA and DMF submissions, quality control (QC), method validation, and stability studies. They are also used in identifying unknown impurities and evaluating genotoxic potential. Our Perindopril related products are meticulously characterized and come with a comprehensive Certificates of Analysis (COA) and analytical data that comply with regulatory standards.
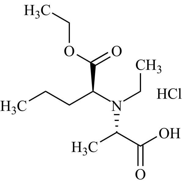
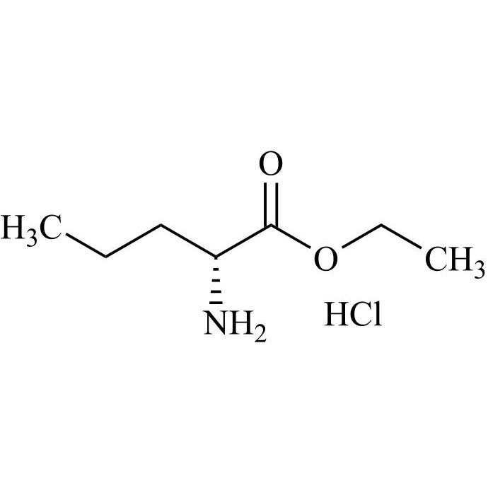
Perindopril Related Compound 4 HCl

M.F.
M.W. 169.23 36.46
CAT# AR-P01491
CAS# 145513-92-4 (free base)
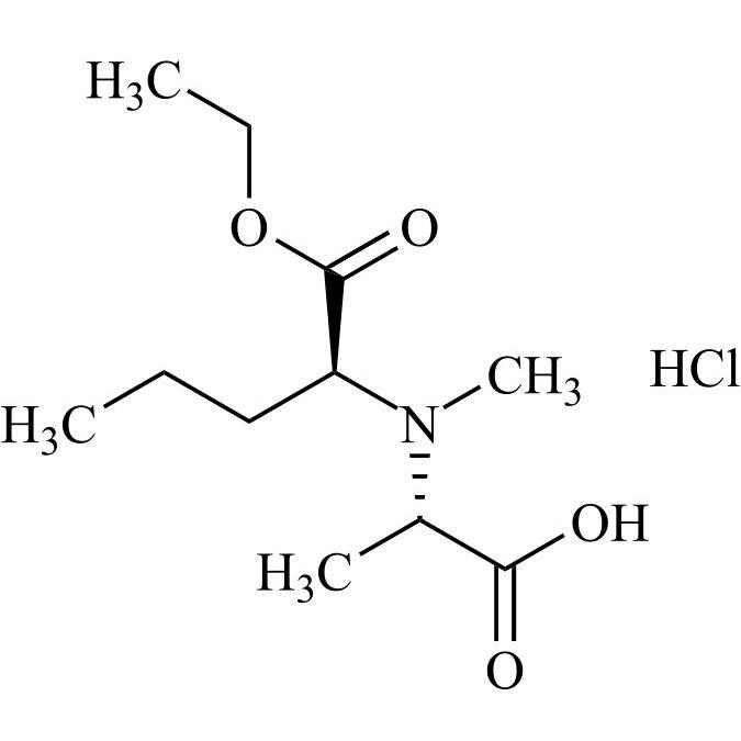
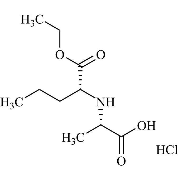
Perindopril Related Compound 5 HCl

M.F.
M.W. 169.23 36.46
CAT# AR-P01492
CAS# 145513-93-5 (free base)
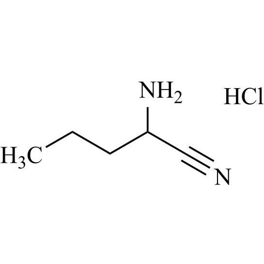
Perindopril Related Compound 5 Enantiomer HCl

M.F.
M.W. 169.23 36.46
CAT# AR-P01500
CAS# 144540-74-9
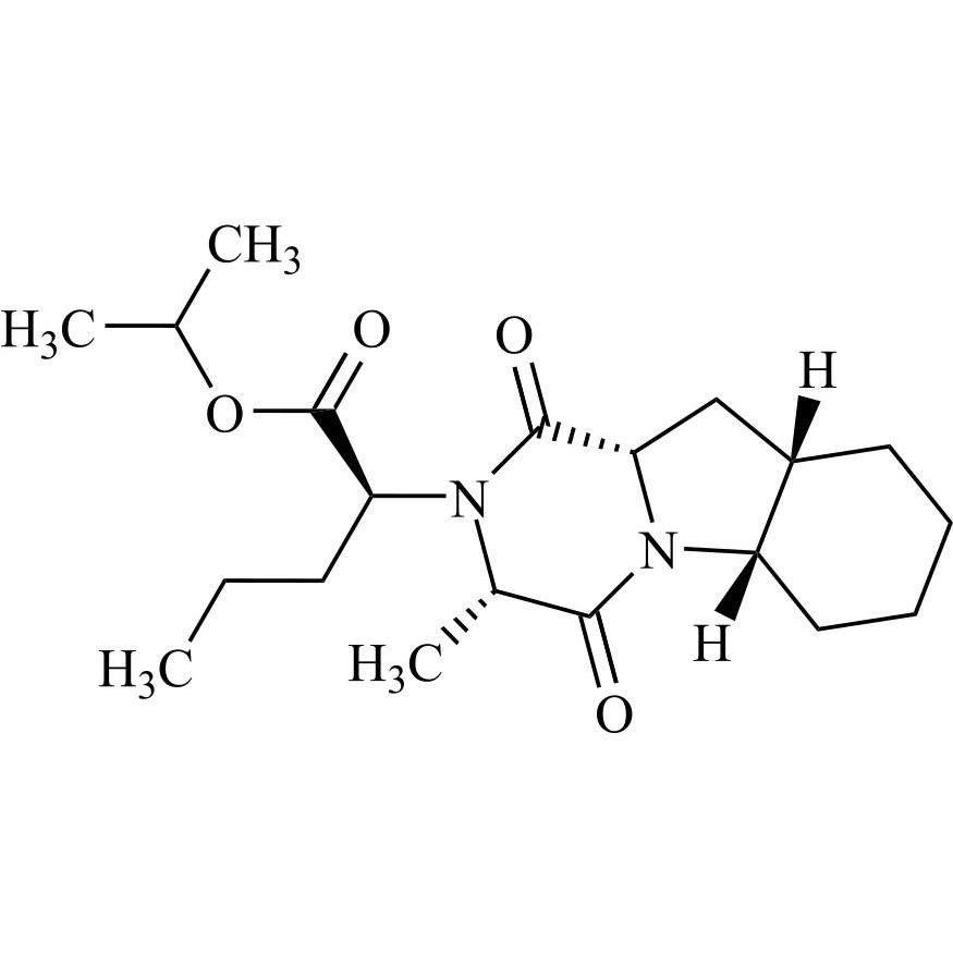
Perindopril EP Impurity H (Mixture of Diastereomers)
M.F.
M.W. 528.74
CAT# AR-P29695
CAS# 353777-64-7
Perindopril EP Impurity I tert-Butylamine Salt

M.F.
M.W. 368.48 73.14
CAT# AR-P01481
CAS# 3081732-63-7
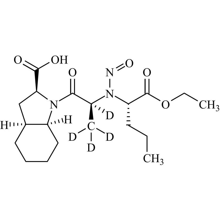
Perindopril EP Impurity F-d4 (Perindopril USP Related Compound F-d4)

M.F.
M.W. 354.48
CAT# AR-P30986
CAS# NA