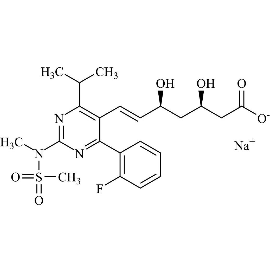
Rosuvastatin Related Products
Axios Research stands at the forefront of pharmaceutical reference standards ingenuity, providing high quality Rosuvastatin Reference Standards. These include both pharmacopeial and non-pharmacopeial Rosuvastatin impurities, metabolites, stable isotope products, and nitrosamines. Our Rosuvastatin impurity reference standards are essential for pharmaceutical research, aiding in product development, ANDA and DMF submissions, quality control (QC), method validation, and stability studies. They are also used in identifying unknown impurities and evaluating genotoxic potential. Our Rosuvastatin related products are meticulously characterized and come with a comprehensive Certificates of Analysis (COA) and analytical data that comply with regulatory standards.
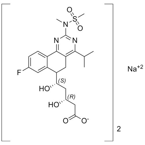
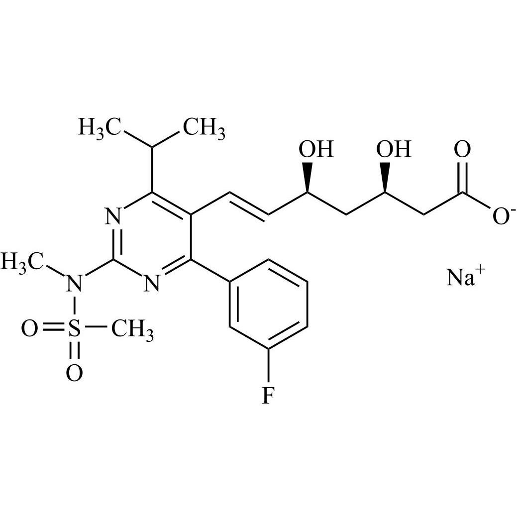
Rosuvastatin Impurity H Sodium Salt (Mixture of Diastereomers)

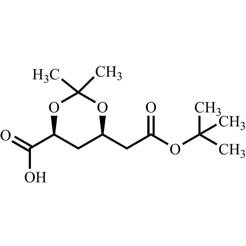
M.F.
M.W. 960 22.99
CAT# AR-R00999
CAS# NA
Trial & Method Development - Separation of Rosuvastatin Impurity H Sodium Salt Diastereomers

M.F. -
M.W. -
CAT# AR-R00996
CAS# NA
Rosuvastatin Impurity 6 Calcium Salt (6,7-Dihydro Rosuvastatin Calcium Salt)

M.F.
M.W. 482.55; 40.08
CAT# AR-R10051
CAS# NA
Rosuvastatin EP Impurity C Calcium Salt

M.F.
M.W. 479.5 : 1/2(40.1)
CAT# AR-R09936
CAS# 1422514-05-3
Rosuvastatin EP Impurity E Calcium Salt

M.F.
M.W. 831.93; 1/2 (40.08)
CAT# AR-R02067
CAS# 3079028-42-2
Rosuvastatin EP Impurity B (Na Salt, Mix diastereomers)

M.F.
M.W. 481.5 : 23.0
CAT# AR-R10009
CAS# 1007871-86-4
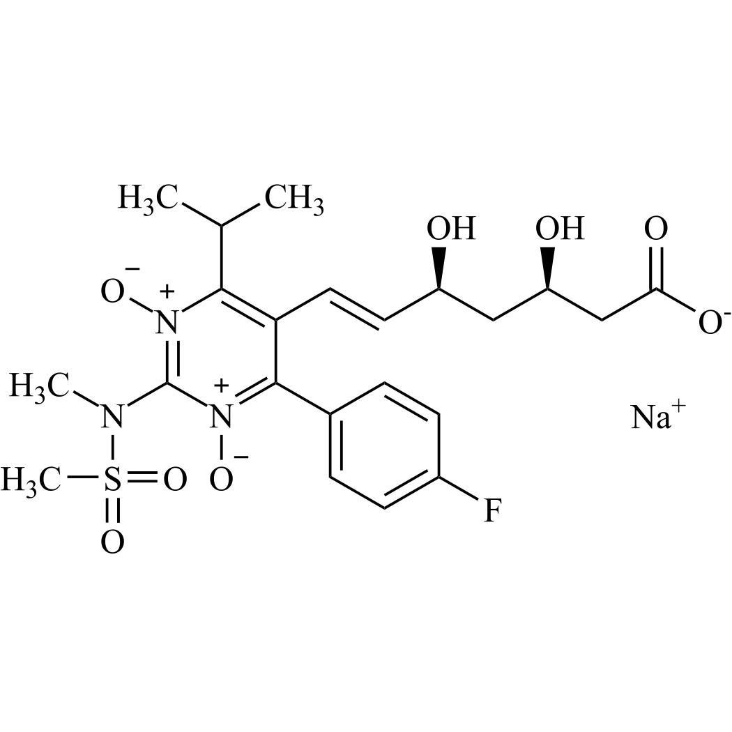
Rosuvastatin (3S,5R) Enantiomer (Calcium salt)

M.F.
M.W. 2(481.5); 40.08
CAT# AR-R09961
CAS# 2414245-11-5
Rosuvastatin Impurity 6 Calcium Salt (6,7-Dihydro Rosuvastatin Calcium Salt)

M.F.
M.W. 482.55 0.5*40.08
CAT# AR-R11526
CAS# NA
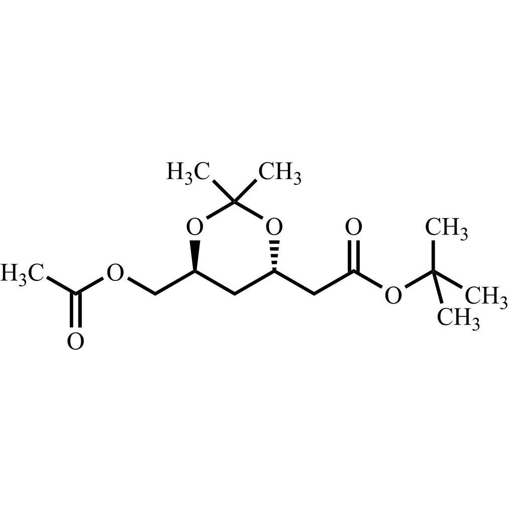
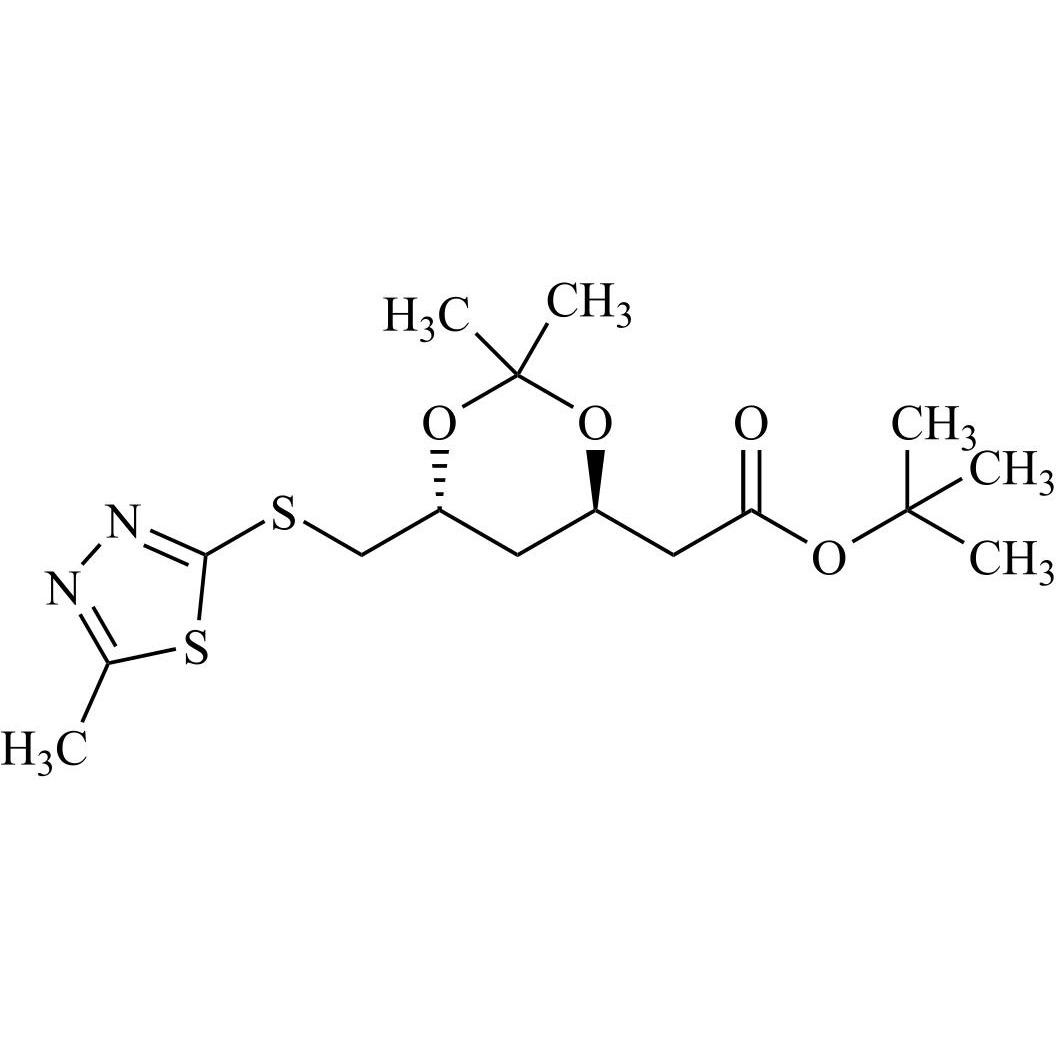
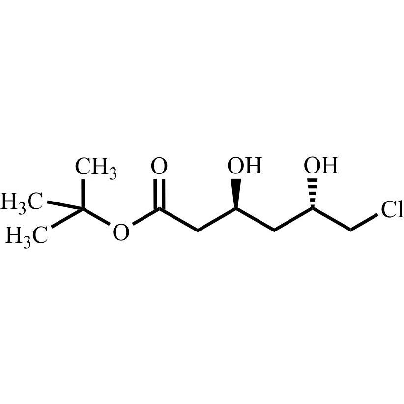
Rosuvastatin Impurity 28 Sodium Salt (Mixture of Diastereomers)

M.F.
M.W. 496.54 22.99
CAT# AR-R11533
CAS# NA
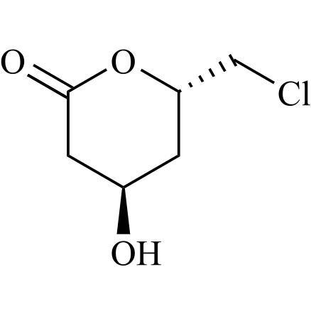
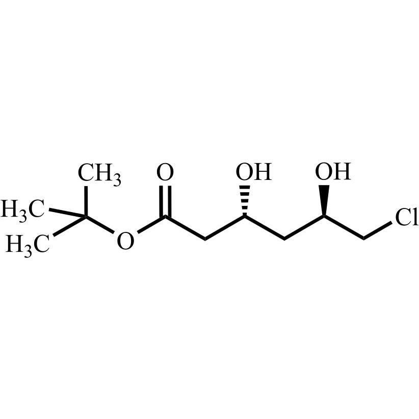
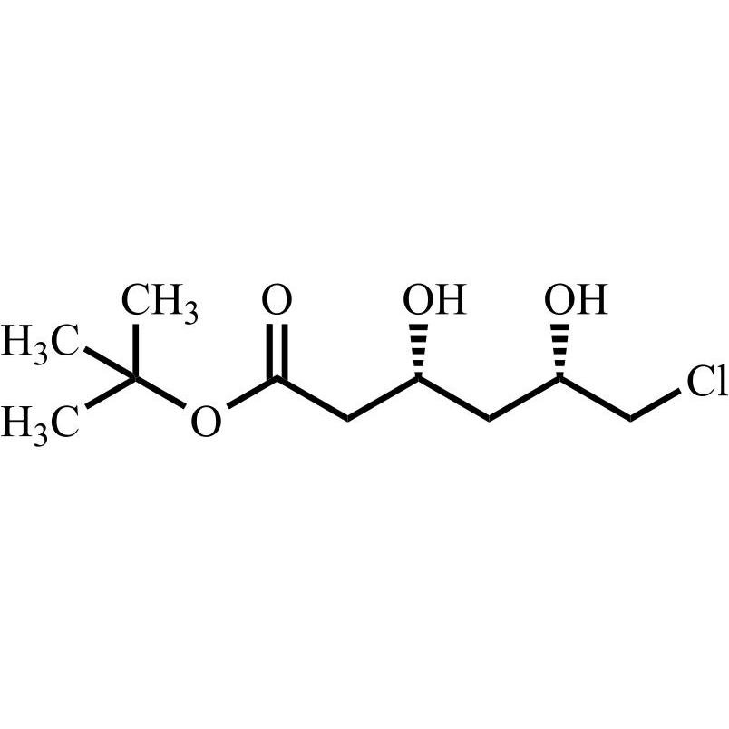
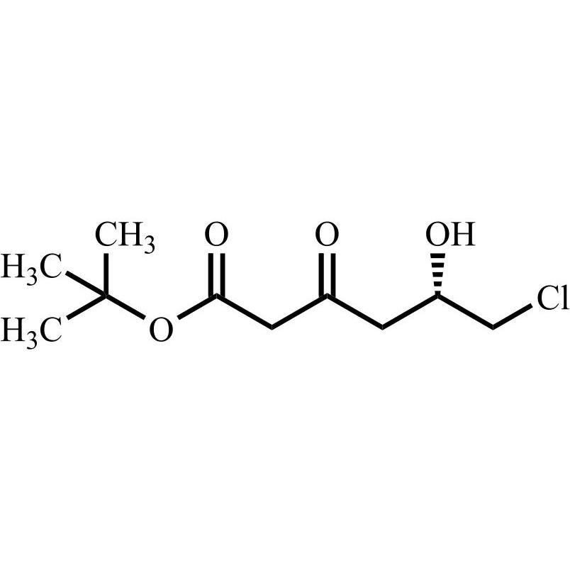
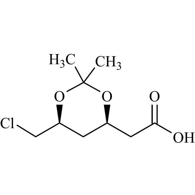
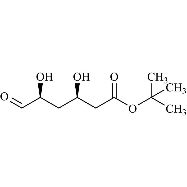
4R,6S)-6-(chloromethyl)-4-Hydroxytetrahydro-2H-Pyran-2-One

M.F.
M.W. 164.59
CAT# AR-C08599
CAS# 391218-14-7
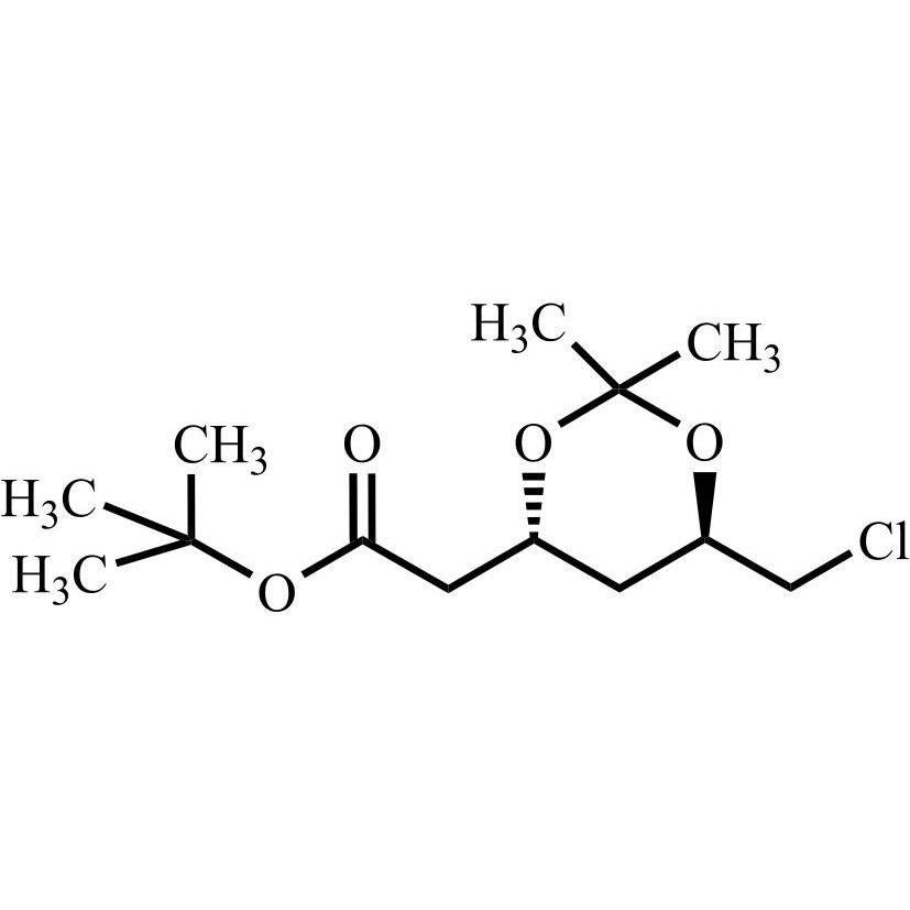
Rosuvastatin EP Impurity L Sodium Salt (Mixture of Diastereomers)

M.F.
M.W. 482.55 22.99
CAT# AR-R11509
CAS# NA
Rosuvastatin EP Impurity G Sodium Salt (ent-Rosuvastatin Sodium Salt)

M.F.
M.W. 480.54 22.99
CAT# AR-R11511
CAS# NA
Rosuvastatin EP Impurity E Sodium Salt (Mixture of Diastereomers)

M.F.
M.W. 831.93 22.99
CAT# AR-R11516
CAS# NA
rac-Rosuvastatin EP Impurity D-d6 (rac-Rosuvastatin Lactone-d6)

M.F.
M.W. 469.57
CAT# AR-R11443
CAS# NA