Amiodarone Related Products
Axios Research stands at the forefront of pharmaceutical reference standards ingenuity, providing high quality Amiodarone Reference Standards. These include both pharmacopeial and non-pharmacopeial Amiodarone impurities, metabolites, stable isotope products, and nitrosamines. Our Amiodarone impurity reference standards are essential for pharmaceutical research, aiding in product development, ANDA and DMF submissions, quality control (QC), method validation, and stability studies. They are also used in identifying unknown impurities and evaluating genotoxic potential. Our Amiodarone related products are meticulously characterized and come with a comprehensive Certificates of Analysis (COA) and analytical data that comply with regulatory standards.
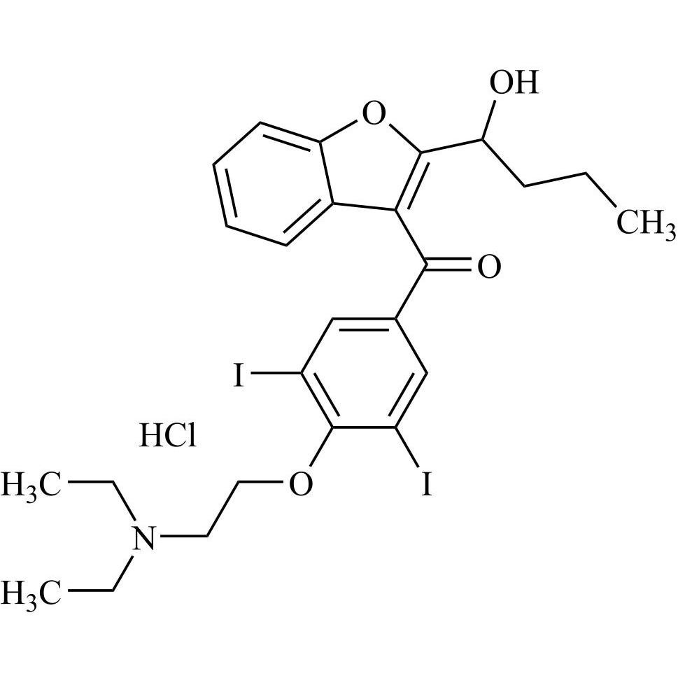
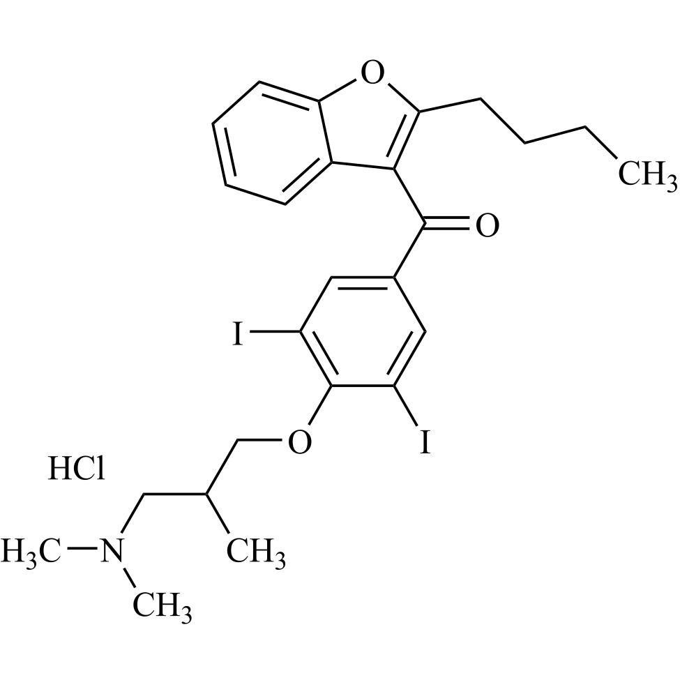
Amiodarone EP Impurity C HCl (Deiodo Impurity)

M.F.
M.W. 519.42; 36.46
CAT# AR-A01940
CAS# 1397201-93-2
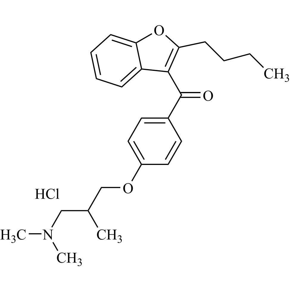
Des-O-[2-(diethylamino)ethyl]-1-methoxy Amiodarone
![Show details for Des-O-[2-(diethylamino)ethyl]-1-methoxy Amiodarone Picture of Des-O-[2-(diethylamino)ethyl]-1-methoxy Amiodarone](https://bc3c83a0874864a50753-7010fd7f2bdf81ab41ee28479491701e.ssl.cf2.rackcdn.com/media//catalog/AR-A06279.jpg?size=256)
M.F.
M.W. 576.17
CAT# AR-A06279
CAS# 1391054-75-3